1.分類
按換熱器內流體的流動方向,傳熱過程可分為:- 逆流傳熱
指換熱的兩種流體沿傳熱面平行且反向流動的傳熱過程; - 並流傳熱
指換熱的兩種流體沿傳熱面平行且同向流動的傳熱過程; - 錯流傳熱指換熱的兩種流體的流向垂直交叉的傳熱過程,工程計算時,若曲折次數超過4次,就可作為純逆流或逆並流處理;
- 折流傳熱指換熱的一種或兩種流體反覆改變流動方向的傳熱過程;
- 複雜流傳熱幾種上述流動形式組合的傳熱過程。

2.計算
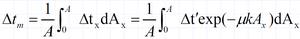
傳熱平均溫度差Δtm的計算:- 傳熱過程的數學描述——熱量衡算微分式

以並流情況為例,並作如下假設:(1)冷熱流體的質量流量G1,G2以及比熱容Cp1,Cp2是常數;(2)傳熱係數是常數;(3)換熱器無散熱損失;(4)換熱面沿流動方向的導熱量可以忽略不計。

在前面假設的基礎上,並已知冷熱流體的進出口溫度,現在來看圖中微元換熱面dA一段的傳熱。溫差為:

在固體微元面dA內,兩種流體的換熱量為:

對於熱流體和冷流體:


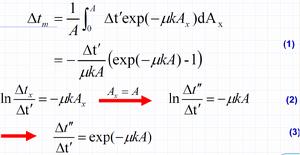
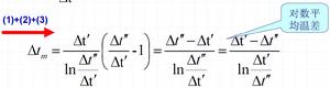
可見,溫差隨換熱面呈指數變化,則沿整個換熱面對平均溫差為:







其他過程和公式與並流是完全一樣的,因此,最終仍然可以得到:

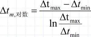
平均溫差是換熱器兩端溫差的對數平均值,稱對數平均溫差。並流逆流平均溫差計算式相同,兩端溫差的計算方法不同。
並流:

逆流:

或者將對數平均溫差寫成如下統一形式(順流和逆流都適用):

- 平均溫差的另一種更為簡單的形式是算術平均溫差,即

算術平均溫差相當於溫度呈直線變化的情況,因此,總是大於相同進出口溫度下的對數平均溫差,當Δtmax/Δtmin≤2時,兩者的差別小於4%;當Δtmax/Δtmin≤1.7時,兩者的差別小於2.3%。
- 其他複雜布置時換熱器平均溫差的計算
對純逆流(逆流的平均溫差最大)的對數平均溫差進行修正以獲得其他情況下的平均溫差。

是給定的冷熱流體的進出口溫度布置成逆流時的LMTD,ψ是小於1的修正係數。
