介紹
彎管中的對流傳熱對流僅發生於流體中,它是指由於流體的巨觀運動使流體各部分之間發生相對位移而導致的熱量傳遞過程。由於流體間各部分是相互接觸的,除了流體的整體運動所帶來的熱對流之外,還伴生有由於流體的微觀粒子運動造成的熱傳導。在工程上,常見的是流體流經固體表面時的熱量傳遞過程,稱之為對流傳熱。
對流傳熱通常用牛頓冷卻定律來描述,即當主體溫度為tf的流體被溫度為tw的熱壁加熱時,單位面積上的加熱量可以表示為q=a(tw-tf),當主體溫度為tf的流體被溫度為tw的冷壁冷卻時,有q=a(tf-tw)式中q為對流傳熱的熱通量,W/m2;a為比例係數,稱為對流傳熱係數,W/(m2·℃)。牛頓冷卻公式表明,單位面積上的對流傳熱速率與溫差成正比關係。
基本原理
原理
在工程上,對流傳熱是指流體固體壁面的傳熱過程,它是依靠流體質點的移動進行熱量傳遞的。因此與流體的流動情況密切相關。熱流體將熱量傳給固體壁面,再由壁面傳給冷流體。由流體力學知,流體流經圓體壁面時,在靠近壁面處總有一薄層流體順著壁面做層流流動,即層流底層。當流體做層流流動時,在垂直於流動方向的熱量傳遞,主要以熱傳導方式進行。由於大多數流體的導熱係數較小,故傳熱熱阻主要集中在層流底層中,溫差也主要集中在該層中。而在湍流主體中,由於流體質點劇烈混合,可近似的認為無傳熱熱阻,即湍流主體中基本上沒有溫差。在層流底層與湍流主體之間存在著一個過渡區,在過渡區內,熱傳導與熱對流均起作用使該區的溫度發生緩慢變化。
所以,層流底層的溫度梯度較大,傳熱的主要熱阻即在此層中,因此,減薄層流底層的厚度δ是強化對流傳熱的重要途徑。在傳熱學中,該層又稱為傳熱邊界層(Thermal Boundary Layer)。
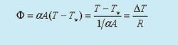
速率方程式
對流傳熱速率公式從對流傳熱過程的分析可知這一個複雜的傳熱過程影響對流傳熱速率的因素很多,為了方便起見,工程上採用一種簡化的方法,即將流體的全部溫差集中在厚度為δ的一層薄膜內,但薄膜厚度θ難以測定,所以用α代替λ/δ將對流傳熱速率寫成如下形式:
此式稱為對流傳熱速率方程式,亦稱牛頓冷卻定律。
式中:Φ-對流傳熱速率。(熱流量rw)
對流傳熱A—傳熱面積,
ΔT—對流傳熱溫度差(℃/K)
Tw—與流體接觸的壁面溫度,℃
T—流體的平均溫度
α-對流傳熱係數
R—對流傳熱熱阻,℃/W
並非理論推導,而是一種推論。即假設單位面積傳熱量與溫度差ΔT成正比。-將所有複雜的因素都轉移到對流傳熱係數α中去了。
影響因素
①流體在傳熱過程中有無相變、汽化、冷凝。
②流體的流動狀態和起因。
③流體流動的原因:強制對流、自然對流。
④物體的物理性質: ρ、 Cp、 λ、 μ、體積膨脹係數等。
⑤傳熱表面的形狀、位置及大小等。
傳熱種類
沸騰傳熱
液體和高於其飽和溫度的壁面接觸時就會產生沸騰,此時,壁面向流體放熱的現象稱為沸騰傳熱。對液體加熱時,在液體內部伴有由液相變成汽相而產生氣泡的進程稱為沸騰。
沸騰產生的方法:將加熱壁面浸沒在液體中,液體在壁面處受熱沸騰,稱為大容器沸騰。液體在管內流動時受熱沸騰,稱為管內沸騰。
冷凝傳熱
當飽和蒸氣與低於飽和溫度的壁面相接觸時,蒸氣將放出潛熱,並冷凝成液體。
蒸汽冷凝的方式:膜狀冷凝(film-type condensation)和滴狀冷凝 (dropwise condensation)。
若冷凝液能潤濕壁面並能形成一層完整的液滴,稱膜狀冷凝由於表面張力的作用,冷凝在壁面上形成許多液滴最終會形成膜狀冷凝。
特點分析
截面上流體的溫度分布當流體沿壁面作湍流流動時,在靠近壁面處總有一滯流內層存在。在滯流內層和湍流主體之間有一過渡層。右圖表示了壁面一側流體的流動情況以及和流動方向垂直的某一截面上流體的溫度分布情況。
在湍流主體內,由於流體質點湍動劇烈,所以在傳熱方向上,流體的溫度差極小,各處的溫度基本相同,熱量傳遞主要依靠對流進行,傳導所起作用很小。在過渡層內,流體的溫度發生緩慢變化,傳導和對流同時起作用。在滯流內層中,流體僅沿壁面平行流動,在傳熱方向上沒有質點位移,所以熱量傳遞主要依靠傳導進行,由於流體的導熱係數很小,使滯流內層中的導熱熱阻很大,因此在該層內流體溫度差較大。
由以上分析可知,在對流傳熱(或稱給熱)時,熱阻主要集中在滯流內層,因此,減薄滯流內層的厚度或破壞滯流內層是強化對流傳熱的重要途徑。
對流類型
自然對流對流傳熱是指不同溫度的流體質點在運動中的熱量傳遞。由於引起流體運動的原因不同,對流分為自然對流和強制對流。若由於運動是因流體內部各處溫度不同引起局部密度差異所致,則稱為自然對流。若由於水泵、風機或其它外力作用引起流體運動,則稱為強制對流。但實際上,熱對流的同時,流體各部分之間還存在著導熱,而形成一種複雜的熱量傳遞過程。
對流係數
定義
對流傳熱係數α:在對流傳熱過程中由牛頓冷卻定律定義熱流密度q與ΔT成正比,比例係數即為對流傳熱係數(或給熱係數)
α=q/ΔT,單位W/(㎡℃)
描述
依靠流體微團的巨觀運動而進行的熱量傳遞。這是熱量傳遞的三種基本方式之一。化工生產中處理的物料大部分是流體,流體的加熱和冷卻都包含對流傳熱。在化工生產中,對流傳熱在習慣上專指流體與溫度不同於該流體的固體壁面直接接觸時相互之間的熱量傳遞。而在實際的模型理論中確實採用膜理論,即在流體流動的一側,如冷流體的液膜側(或熱流體的液膜側或氣膜側)由於流體流動,會出現湍流區與層流區,膜理論認為對流傳熱過程主要受層流區阻力所控制。
這實際上是對流傳熱和熱傳導兩種基本傳熱方式共同作用的傳熱過程。例如間壁式換熱器中的流體與間壁側面之間的熱量傳遞,反應器中固體物料或催化劑與流體之間的熱量傳遞,都是這樣的傳熱過程。
類型
按流體在傳熱過程中有無相態變化,對流傳熱分兩類:①無相變對流傳熱。流體在換熱過程中不發生蒸發、凝結等相的變化,如水的加熱或冷卻。根據引起流體質點相對運動的原因,對流傳熱又分自然對流和強制對流。自然對流是由於流體內各部分密度不同而引起的流動(如散熱器旁熱空氣的向上流動);強制對流是流體在外力(如壓力)作用下產生的流動。強制對流時流體流速高,能加快熱量傳遞,因而工程上廣泛套用。②有相變對流傳熱。流體在與壁面換熱過程中,本身發生了相態的變化。這一類對流傳熱包括冷凝傳熱和沸騰傳熱。
熱力學機理
熱量傳遞過程是工程熱物理和化學工程領域的重要研究課題,強化傳熱過程是其中主要的研究方向。傳統的強化換熱方法主要是通過人工粗糙壁面、機械攪拌、振動、流體旋轉等方式強化管內流體的強制對流換熱。利用不同物理場之間的相互耦合來實現強化傳熱是近年發展起來的一種新的強化傳熱技術,具有效率高、套用廣泛的優點。利用外場強化傳遞過程是目前的研究熱點,其中利用電場強化傳熱是一種重要的技術手段,目前的研究和套用主要集中在電場強化沸騰成核等方面。
電場作用下系統焓的物理意義是:電場不變時系統焓的增量等於系統從外界吸收的熱,或焓的減少等於系統放出的熱。電場強化對流傳熱過程的熱力學機理可以用系統的焓和溫度隨外加電場的變化來說明;在等溫過程中,系統的焓隨電場增加而減少;在絕熱過程中,系統的溫度隨電場增加而增加。如果在系統的熱交換部位有電場作用,這個電場將通過改變系統的溫度和系統的焓兩個方面有效地強化傳熱過程。

