定義
兩底之間的柱面部分稱為 側面。
側面積的定義則為:
①立體圖形的側面展開圖的面積(以區別於底面積);
②物體的側表面或圍成的圖形表面的大小,叫作它們的 側面積。
涉及側面積的幾何圖形包括長方體、正方體、圓錐、直柱體和稜柱等。
側面積:物體側面的面積,叫做物體的側面積。
底面積:物體底面的面積,叫做物體的底面積。
表面積:物體表面的面積總和。叫做物體的表面積.也叫做物體的全面積,它包括物體的側面積和底面積。
不同形狀相關
長方體和正方體的側面積
長方體和 正方體的側面積,要依據長方體、正方體的擺放而定.通常把長方體、正方體前、後、左、右四個面的總面積叫作它們的側面積。長方體的四個側面一般都是長方形,也可能有兩個相對的面是正方形;正方體的四個側面都是正方形。沿長方體或正方體的一條側棱將它的側面剪開並展開,把各側面平放在一個平面上,就得到它的側面展開圖。其側面展開圖是一個長方形,長方形的長、寬分別是長方體或正方體的底面周長和高。
直柱體
側面積
側面積
側面積直柱體是一種立體幾何圖形,指的是柱體上、下兩個端面平行,且柱體素線垂直這兩個端面。比如圓柱、正稜柱體。計算直柱體側面積的通用公式為: (C為底面周長)。 圓柱的側面積,就是圓柱曲面的面積,也就是將網柱去掉上、下兩個底後,剩下的圓筒展開的圖形面積叫圓柱的側面積。把直圓柱的側面沿它的一條高剪開後展開放在平面上,就得到它的側面展開圖。這是一個矩形,矩形的兩邊長分別是圓柱的底面周長和高圓柱的側面積 或 (C為底面周長)。
稜柱的側面積
稜柱是特殊的多面體,分為 直稜柱和 斜稜柱。
側面積直稜柱的側面積定義為:刻畫直稜柱側面大小的一個數量及其計算公式,直稜柱各側面面積之和稱為直稜柱的側面積.直稜柱側面展開圖的面積就是它的側面積。如果直稜柱的底面周長是C,高是h,那么它的側面積是: 。
側棱不垂直於底面的稜柱叫作 斜稜柱,斜稜柱的側面積等於它的直截面的周長與側棱長的乘積。
圓錐的側面積
圓錐是將其沿著母線剪開,得到圓錐的側面展開圖——扇形,可利用扇形面積公式計算。
側面積
側面積
側面積圓錐的側面展開圖是一個扇形,其半徑等於圓錐的母線長,弧長等於圓錐的底面周長,如圖,若圓錐的底面半徑為r,母線長為 ,則它的側面積為: 。圓錐的全面積為圓錐的側面積和底面積的和,即 。
利用圓錐的側面積可求圓錐上兩點間的最短距離。
圖1圓台的側面積
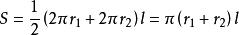
圓台的側面積等於它的兩個底面周長的和與母線的長的乘積的二分之一。
側面積
側面積
側面積如果圈台的上、下底面半徑分別為。母線長為,側面積為。
旋轉曲面側面積的計算
側面積
側面積
側面積
側面積(1) 設曲線弧 (其中函式 在 上連續可導),則它繞 軸旋轉一周而成的旋轉曲面側面積為
側面積注: 此時旋轉曲面方程為
側面積即
側面積
側面積
側面積
側面積
側面積(2) 設曲線弧 (其中函式 在 上連續可導),則它繞 軸旋轉一周而成的旋轉曲面側面積為
側面積注: 此時旋轉曲面方程為
側面積即
側面積
