作物騰發量的計算
(1)FAO56 Penman—Monteith公式 ·
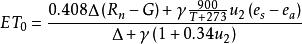
根據重新定義的ET概念,FAO提供了新的ET計算式,即FAO56 Penman—Monteith公式:
作物騰發量式中,ET為用FAO Penman—Monteith法計算的參考作物騰發量,mm·d ;R為作物表面的淨輻射量,MJ·m ·d ;G為土壤熱通量,MJ·m ·d ;T為平均氣溫,℃;u為2 m高處的平均風速,m/s;e為飽和水汽壓,kPa;e為實際水汽壓,kPa;∆為飽和水汽壓與溫度曲線的斜率,kPa·℃ ;γ為乾濕表常數,kPa·℃ 。
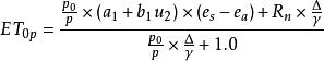
(2)FAO Penman法
作物騰發量式中,ET為Penman法所得的ET ,mm·d;p為海平面氣壓,hPa;p為本站氣壓,hPa;a=0.26,b=0.14。
(3)Priestley-Taylor法
作物騰發量式中,ET為套用Priestley-Taylor法所得的ET ,mm·d ; α為經驗係數,一般為1.26。
(4)Irmark-Allen擬合法
作物騰發量式中:ET為套用Irmark-Allen擬合法所得的ET ,mm·d 。
(5)Hargreaves-Samani法
作物騰發量式中:ET為套用Hargreaves—Samani法所得的ET 。,mm·d ;TD為最高與最低氣溫之差,℃;Ra為大氣頂太陽輻射,mm·d 。
意義
作物騰發量的各種計算表明,套用各種方法計算ET0值的結果變化趨勢基本相同,但計算值有所差異。通過分析得出,FAO Penman法與FAO56 Penman—Monteith法基本相同,適用於大多數氣候條件;Hargreaves—Samani適用於在溫差較小地區計算ET;Irmark—Allen擬合法與Priestley—Taylor法適用於在相對濕度較大地區套用。
