發展簡史
二項式定理二項式定理最初用於開高次方。在中國,成書於1世紀的《九章算術》提出了世界上最早的多位正整數開平方、開立方的一般程式。11世紀中葉,賈憲在其《釋鎖算書》中給出了“開方作法本原圖”(如圖1),滿足了三次以上開方的需要。此圖即為直到六次冪的二項式係數表,但是,賈憲並未給出二項式係數的一般公式,因而未能建立一般正整數次冪的二項式定理。13世紀,楊輝在其《詳解九章算法》中引用了此圖,並註明了此圖出自賈憲的《釋鎖算書》。賈憲的著作已經失傳,而楊輝的著作流傳至今,所以今稱此圖為“賈憲三角”或“楊輝三角”。14世紀初,朱世傑在其《四元玉鑒》中復載此圖,並增加了兩層,添上了兩組平行的斜線(如圖2)。
在阿拉伯,10世紀,阿爾 ·卡拉吉已經知道二項式係數表的構造方法:每一列中的任一數等於上一列中同一行的數加上該數上面一數。11~12世紀奧馬海牙姆將印度人的開平方、開立方運算推廣到任意高次,因而研究了高次二項展開式。13世紀納綏爾丁在其《算板與沙盤算法集成》中給出了高次開方的近似公式,並用到了二項式係數表。15世紀,阿爾 ·卡西在其《算術之鑰》中介紹了任意高次開方法,並給出了直到九次冪的二項式係數表,還給出了二項式係數表的兩術書中給出了一張二項式係數表,其形狀與賈憲三角一樣。16世紀,許多數學家的書中都載有二項式係數表。1654年,法國的帕斯卡最早建立了一般正整數次冪的二項式定理,因此算術三角形在西方至今仍以他的名字命名。1665年,英國的牛頓將二項式定理推廣到有理指數的情形。18世紀,瑞士的歐拉和義大利的卡斯蒂隆分別採用待定係數法和“先異後同”的方法證明了實指數情形的二項式定理。
定理定義
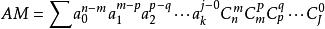
根據此定理,可以將 x+ y的任意次冪展開成和的形式
二項式定理
二項式定理
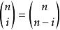
二項式定理其中每個為一個稱作二項式係數的特定正整數,其等於。這個公式也稱 二項式公式或 二項恆等式。使用求和符號,可以把它寫作
二項式定理驗證推導
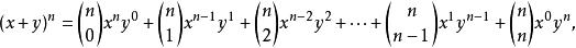
考慮用數學歸納法。
二項式定理
二項式定理當時,則
二項式定理假設二項展開式在 時成立。
二項式定理設 ,則:
二項式定理
二項式定理
二項式定理,(將a、b<乘入)
二項式定理
二項式定理,(取出 的項)
二項式定理
二項式定理,(設)
二項式定理
二項式定理,( 取出 項)
二項式定理,(兩者相加)
二項式定理,(套用帕斯卡法則)
二項式定理定理推廣
牛頓 廣義二項式定理
二項式定理可以推廣到對任意實數次冪的展開。
二項式定理
二項式定理其中。
牛頓二項式擴充定理
二項式定理設函式:
二項式定理根據二項式定理得F(x)的任意一項為:
二項式定理同理上式中的任意一項為
二項式定理如此類推我們預知最後一項存在;
二項式定理那么我們得到其中
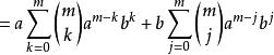
二項式定理的任意一個係數為以上各式係數之積即為:
二項式定理
二項式定理設M=0+j+....+q+p+m而且項的係數為AM
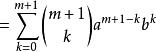
二項式定理當x=1時,這就是多項式定理
二項式定理推廣至n為負數
二項式定理的一個常用形式為
二項式定理(n>0)
考慮到組合數的性質,上式可以改寫為
二項式定理(n>0)
我們猜想當上式中左邊的指數為負整數時公式
依然成立,即
二項式定理(n>0)
上式的正確性可以很容易地加以驗證。同理,二項式定理也可以推廣到非整數指數的情況。
二項式定理上面的結果與牛頓二項式展開完全一致。
定理意義
牛頓以二項式定理作為基石發明出了微積分。 其在初等數學中套用主要在於一些粗略的分析和估計以及證明恆等式等。
這個定理在遺傳學中也有其用武之地,具體套用範圍為:推測自交後代群體的基因型和機率、推測自交後代群體的表現型和機率、推測雜交後代群體的表現型分布和機率、通過測交分析雜合體自交後代的性狀表現和機率、推測夫妻所生孩子的性別分布和機率、推測平衡狀態群體的基因或基因型頻率等。
套用例子
證明組合恆等式
二項式定理二項式定理給出的係數可以視為組合數 的另一種定義。 因此二項式展開與組合數的關係十分密切。 它常常用來證明一些組合恆等式。
二項式定理
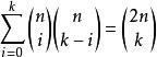
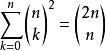
二項式定理比如證明 ,可以考慮恆等式 。
二項式定理展開等式左邊得到: 。 注意這一步使用了有限求和與乘積可以交換的性質。
二項式定理同時如果展開等式右邊可以得到 。
二項式定理比較兩邊冪次位的項的係數可以得到: 。
二項式定理
二項式定理令 ,並注意到 即可得到所要證明的結論。
證明自然數冪求和公式
二項式定理公式具體內容:
它不是一個等差數列,也不是一個等比數列,但通過二項式定理的展開式,可以轉化為按等差數列,由低次冪到高次冪遞進求和,最終可推導至李善蘭自然數冪求和公式的原形。
當n為奇數時,由1+2+3+4+...+N與s=N+(N-1)+(N-2)+...+1相加得:
2s=N+[1+(N-1)]+[2+(N-2)]+[3+(N-3)]+...+[(N-1)+(N-N-1)]+N
=N+N+N+...+N加或減去所有添加的二項式展開式數
=(1+N)N減去所有添加的二項式展開式數。
當n為偶數時,由1+2+3+4+5+...+N與s=N+(N-1)+(N-2)+...+1相加得:
2s=N+[1+(N-1)]+[2+(N-2)]+[3+(N-3)]+[4+(N-4)]...+[(N-1)+(N-N-1)]+N
=2N+2[(N-2)+(N-4)+(N-6)+...0或1]加或減去所有添加的二項式展開式數
又當n為偶數時,由1+2+3+4+5+6+...+N與s=N+(N-1)+(N-2)+...+1相加得:
2s=[N+1]+[(N-1)+2]+[(N-2)+3]+...+[(N-N-1)+(N-1)]
=2[(N-1)+(N-3)+(N-5)+...0或1]加或減去所有添加的二項式展開式數,合併n為偶數時2S的兩個計算結果,可以得到s=N+(N-1)+(N-2)+...+1的計算公式。
其中,所有添加的二項式展開式數,按下列二項式展開式確定,如此可以順利進行自然數的1至n次冪的求和公式的遞進推導,最終可以推導至李善蘭自然數冪求和公式。

