定義
在初等代數中,二項式是只有兩項的多項式,即兩個單項式的和。二項式是僅次於單項式的最簡單多項式。
運算法則
二項式與因子的乘法
二項式與因子 c 的乘法可以根據分配律計算:
(a+b)c=ac+bc
二項式間的乘法
個二項式 a+b 與 c+d的乘法可以通過兩次分配率得到:
(a+b)(c+d)=a(c+d)+b(c+d)=ac+ad+bc+bd
兩個線性二項式 ax+b 與 cx+d 的乘積為:
(ax+b)(cx+d)=ac x^2+(ad+bc)x+bd
二項式的平方
二項式 a+b 的平方為
a+b)^2=a^2+2ab+b^2
二項式 a-b的平方為
(a-b)^2=a^2-2ab+b^2
二項式的冪
(a+b)^n的二項式 a + b的 n次冪可以用二項式定理或者等價的楊輝三角形展開。二項式的因式分解二項式 a− b可以因式分解為另外兩個二項式的乘積:a^2-b^2=(a-b)(a+b)
二項式的遞推
二項式展開後各項的係數依次為:圖——推廣公式
推廣公式這就是二項式展開“係數遞推”的依據. 二項式係數遞推實際上是組合數由到的遞推.二項式的
多種形式
線性形式
如果二項式的形式為
ax+b其中 a與 b是常數,x是變數,那么這個二項式是線性的。
複數形式
複數是形式為
a+b i的二項式,其中 i 是 -1 的平方根。
定理
binomial theorem
二項式定理,又稱牛頓二項式定理,由艾薩克·牛頓於1664、1665年間提出。

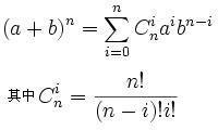
其中,二項式係數指...
等號右邊的多項式叫做二項展開式。
二項展開式的通項公式為
其i項係數可表示為:見圖右,即n取i的組合數目。
因此係數亦可表示為帕斯卡三角形(Pascal's Triangle)
二項式定理(Binomial Theorem)是指(a+b)n在n為正整數時的展開式。(a+b)n的係數表為:
1 n=0

1 2 1 n=2
1 3 3 1 n=3
1 4 6 4 1 n=4

1 6 15 20 15 6 1 n=6
…………………………………………………………
(左右兩端為1,其他數字等於正上方的兩個數字之和)
排列與組合
1、Cn0+Cn1+Cn2…+Cnk+…+Cnn=2^n2、Cno-Cn1+Cn2-Cn3+……(-1)^nCnn=0
3、Cn0+Cn2+Cn4+……=Cn1+Cn3+Cn5+……=2^(n-1)
證明:由(a+b)^n=C(n,0)a^n+C(n,1)a^(n-1)*b+C(n,2)a^(n-2)*b^2+...+C(n,n)b^n
當a=b=1時,代入二項式定理可證明1
但a=-1,b=1時代入二項式定理可證明2
組合數的性質:
係數性質
①對稱性:②增減性和最大值:先增後減
n為偶數時,中間一項的二項式係數最大,為:Tn/2+1
n為奇數時,中間兩項的二項式係數相等且最大,為:T(n+1)/2,T[(n+1)/2+1]
賦值法
掌握“賦值法”這種利用恆等式解決問題的思想.證明:n個(a+b)相乘,是從(a+b)中取一個字母a或b的積。所以(a+b)^n的展開式中每一項都是)a^k*b^(n-k)的形式。對於每一個a^k*b^(n-k),是由k個(a+b)選了a,(a的係數為n箇中取k個的組合數(就是那個C右上角一個數,右下角一個數))。(n-k)個(a+b)選了b得到的(b的係數同理)。由此得到二項式定理。
二項式係數之和:2n
而且展開式中奇數項二項式係數之和等於偶數項二項式係數之和等於2的(n-1)次方
二項式定理的推廣:
二項式定理推廣到指數為非自然數的情況:
形式為
注意:|x|<1
(a+b)^n=C(n,0)a^n+C(n,1)a^(n-1)*b+C(n,2)a^(n-2)*b^2+...+C(n,n)b^n
數形趣遇 算式到算圖
二項式定理與楊輝三角形是一對天然的數形趣遇,它把數形結合帶進了計算數學. 求二項式展開式係數的問題,實際上是一種組合數的計算問題. 用係數通項公式來計算,稱為“式算”;用楊輝三角形來計算,稱作“圖算”.
【圖算】常數項產生在展開後的第5、6兩項. 用“錯位加法”很容易“加出”楊輝三角形第8行的第5個數. 簡圖如下:
1 4 6 4 1
1 5 1010 5 1
…… 15 20 15 6 …
1 …… 35 35 21 ……
… 70 56 …
圖上得到=70,==56.
故求得展開式中常數項為70 – 2×56 = – 42
【點評】 “式算”與“圖算”趣遇,各揚所長,各補所短.<, /o:p>
楊輝三角形本來就是二項式展開式的算圖. 對楊輝三角形熟悉的考生,比如他熟悉到了它的第6行:
1,6,15,20,15,6,1
那么他可以心算不動筆,對本題做到一望而答.
楊輝三角形在3年內考了5個(相關的)題目,這正是聯考改革強調“多想少算”、“邏輯思維與直覺思維並重”的結果. 這5個考題都與二項式展開式的係數相關,說明數形結合思想正在聯考命題中進行深層次地滲透.
利用二項式推出牛頓切線法開方
開立方公式:
設A = X^3,求X.稱為開立方。 開立方有一個標準的公式:
X(n+1)=Xn+(A/X^2-Xn)1/3(n,n+1是下角標)
例如,A=5,,即求
5介於1的3次方;至2的3次方;之間(1的3次方=1,2的3次方=8)
初始值X0可以取1.1,1.2,1.3,1.4,1.5,1.6,1.7,1.8,1.9,都可以。例如我們取X0 = 1.9按照公式:
第一步:X1=1.9+(5/1.9^2;-1.9)1/3=1.7。
即5/1.9×1.9=1.3850416,1.3850416-1.9=-0.5149584,-0.5149584×1/3=-0.1716528,1.9+(-0.1716528)=1.7。即取2位數值,,即1.7。
第二步:X2=1.7+(5/1.7^2;-1.7)1/3=1.71。
即5/1.7×1.7=1.73010,1.73-1.7=0.03,0.03×1/3=0.01,1.7+0.01=1.71。取3位數,比前面多取一位數。
第三步:X3=1.71+(5/1.71^2;-1.71)1/3=1.709.
第四步:X4=1.709+(5/1.709^2;-1.709)1/3=1.7099
這種方法可以自動調節,第一步與第三步取值偏大,但是計算出來以後輸出值會自動轉小;第二步,第四步輸入值
偏小,輸出值自動轉大。即5=1.7099^3;
當然初始值X0也可以取1.1,1.2,1.3,。。。1.8,1.9中的任何一個,都是X1 = 1.7 > 。當然,我們在實際中
公式來源《數學傳播》136期如果用這個公式開平方,只需將3改成2,2改成1。即
X(n + 1) = Xn + (A / Xn-Xn)1 / 2.
例如,A=5:
5介於2的平方至3的平方;之間。我們取初始值2.1,2.2,2.3,2.4,2.5,2.6,2.7,2.8,2.9都可以,我們最好取 中間值2.5。 第一步:2.5+(5/2.5-2.5)1/2=2.2;
即5/2.5=2,2-2.5=-0.5,-0.5×1/2=-0.25,2.5+(-0.25)=2.25,取2位數2.2。
第二步:2.2+(5/2.2-2.2)1/2=2.23;
即5/2.2=2.272,2.272-2.2=-0.072,-0.072×1/2=-0.036,2.2+0.036=2.23。取3位數。
第三步:2.23+(5/2.23-2.23)1/2=2.236。
即5/2.23=2.242,2.242-2.23=0.012,0.012×1/2=0.006,2.23+0.006=2.236.
每一步多取一位數。這個方法又叫反饋開方,即使你輸入一個錯誤的數值,也沒有關係,輸出值會自動調節,接近準確值。
A=(X±Y)^n=展開。帶入公式就是開方公式。X(n+1)=Xn+(A/X^(k-1)-Xn)1/k=Xn-f(x)/f‘(x)。
f'(x)=kx^(K-1);f(X)=X^K-A。即牛頓切線法
就是在開方過程中把牛頓二項式定理轉換成為牛頓切線法。
二項式定理的證明
採用數學歸納法可行。

