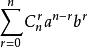
二項式定理
二項展開式
二項展開式
二項展開式
二項展開式
二項展開式其中, ,又有 等記法,稱為二項式係數,此係數亦可表示為楊輝三角形。等式的右邊 即為 的展開式,稱為二項展開式。
理解
二項展開式
二項展開式
二項展開式
二項展開式
二項展開式
二項展開式
二項展開式
二項展開式
二項展開式
二項展開式
二項展開式
二項展開式
二項展開式
二項展開式
二項展開式
二項展開式
二項展開式將 看成 個 相乘,從每個括弧中取一項 (非 即 ) 相乘的所有單項式合併同類項得到的,按取 的個數分為 類 ,不取 的是 ,取 1 個 的是 ,..., 取 個 的是 ,...,取 個 的是
注意:
(1)選取性,二項式的兩項怎樣選取 (各取幾個) 才能構成所求的項;
二項展開式
二項展開式
二項展開式
二項展開式
二項展開式
二項展開式
二項展開式
二項展開式(2)有序性, 的展 開式第 項是取 個 (同時取 個 ), 這裡的 和 不能互換
(3)項 、項的係數與二項式係數的區別
二項展開式某項要把這一項全部寫出來;某項的係數只寫這一項的係數,不帶字母 (即把每個字母當作數 1) ;某項的二項式係數就是相應的組合數
性質
(1)項數:n+1項
二項展開式(2)第k+1項的二項式係數是
(3)在二項展開式中,與首末兩端等距離的兩項的二項式係數相等。
(4)如果二項式的冪指數是偶數,中間的一項的二項式係數最大。如果二項式的冪指數是奇數,中間兩項的的二項式係數最大,並且相等。
二項展開式
二項展開式(5)二項式通項:,是第項
證明
這裡,採用數學歸納法對二項式定理進行證明
二項展開式
二項展開式當 ,
二項展開式
二項展開式假設二項展開式在 時成立,設 ,則:
二項展開式
二項展開式
二項展開式
二項展開式
二項展開式(取出 的項)
二項展開式
二項展開式(設 )
二項展開式
二項展開式( 取出 項)
二項展開式(兩者相加)
二項展開式(套用帕斯卡法則)
二項展開式等式也成立
結論:對於任意自然數n,等式均成立。
例題
某項的係數
求二項展開式的某項或某項的係數是高考數學的一個基本知識點,每年的高考題都有一定的題出現。
二項展開式
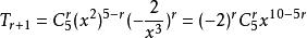
二項展開式例1. 求 的展開式中 的係數
二項展開式
二項展開式
二項展開式解: 要取2個,故 的係數是
二項展開式
二項展開式例2. 求 的展開式中 的係數
二項展開式
二項展開式
二項展開式解: 要取4個,故的係數是
係數最值項
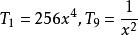
二項展開式例. 求展開式中係數最大項和最小項
解:
二項展開式通項=
二項展開式通項的係數=
二項展開式
二項展開式設係數 最大,則
二項展開式
二項展開式
二項展開式
二項展開式
二項展開式解得: ,因為,所以,故係數最大項為和
二項展開式
二項展開式由於最大項在中間取得,所以最小項在兩端,計算得:,故係數最小項為
指定項
求二項展開式中的指定項,一般是利用通項公式進行。
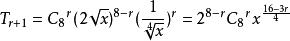
二項展開式例. 展開式中的常數項
二項展開式
二項展開式
二項展開式解:展開式的通項=,令 ,解得
二項展開式故常數項為:

