人物成就
與項名達同時研究三角函式的冪級數展開式和橢圓求周等問題,並代項氏續成遺著。他的代表作有《 對數簡法》等四種九卷,合刊成《 求表捷術》。得出了指數為任意實數的二項展開式、對數展開式及三角函式對數展開式,並用來計算對數表。
戴煦和項名達共同發現了指數為有理數的二項式定理。
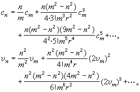
圖一項名達所著作的《象數一原》的主要內容是論述三角函式冪級數展開式問題,他撰寫此書時已年老病重,僅寫成整分起度弦矢率論、半分起度弦矢率論、零分起度弦矢率論(兩卷)、諸術通詮、諸術明變,共6卷。其中卷四和卷六未能完稿,戴煦遵從他的囑託於鹹豐七年(1857)補寫完成,並為橢圓求周術補作圖解1卷,故現傳本《象數一原》共 7卷。在此書中,項名達推廣了明安圖和董祐誠的結果。董祐誠同明安圖一樣,也用連比例的方法討論了全弧與分弧所對的弦的關係以及全弧和分弧的中矢(即該弧所張的弓形的高),得到四個冪級數公式。項名達進一步歸納為下列兩個公式:設сn和сm分別為圓內某弧с的 n倍和m倍弧長, vn和 vm分別為相應的中矢, r為圓半徑,則有 (圖一):
由這兩個公式可推導出明安圖的九個公式和董祐誠的四個公式,其中包括正弦和反正弦的冪級數展開式、正矢和反正矢的冪級數展開式以及圓周率π 的無窮級數表達式等。
圖二項名達的另一項成就是求出橢圓周長公式(圖二):
式中 p為橢圓周長, e為橢圓離心率, α與 b為橢圓長半軸與短半軸。這是中國在二次曲線研究方面最早的重要成果。
圖三他還據此推出圓周率倒數公式(圖三):
項名達與戴煦還共同討論求二項式 n次根的簡法,在《開諸乘方捷術》中提出了冪指數為 1/ n的二項式定理
圖四以及用逐次逼近法開 n次方的遞推公式(圖四):
按上述公式逐次求得的 αk+1,即為準確到不同程度的近似值。《勾股六術》與《三角和較術》內容淺顯易懂,是項名達為初學者撰寫的數學入門書。在這兩卷書中,對於勾股形、平面三角形及球面三角形的各邊及其和、差的互求關係,做了較系統的分類與總結。
人物著作
著有《 對數簡法》、《 四元玉鑒細草》等。
學術簡介
學術成就
戴煦在研究無窮級數時發現了“開方求對數”的簡便方法,並在此基礎上補充了“定理級對數”和“自然對數級數術”兩項定理,比當時世界上的先進算法要簡單實用得多。
著作影響
戴煦一生論著頗多,除了《重差圖說》外,還著有《對數簡法》、《續對數簡法》、《外切密率》、《假數測圓》和《求表捷術》等著作。這一切充分顯示了戴煦在數學領域中的領先地位。當時在上海的英國漢學家艾約瑟曾專程來杭州求見,回國後還將其數學著作譯成英文,並在倫敦廣為刊行。

