定義
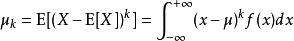
中心矩對於一維隨機變數X,其k階 中心矩為相對於X之期望值的k階矩:
中心矩前幾階中心矩具有較直觀的意義。
中心矩第0階中心矩 恆為1。
中心矩第1階中心矩 恆為0。
中心矩
中心矩第2階中心矩 為X的方差。
中心矩第3階中心矩 用於定義X的偏度。
中心矩第4階中心矩 用於定義X的峰度。
性質
中心矩具有平移不變性。對於任意的隨機變數X和任意常數c,恆有:
中心矩n階中心矩是 n次齊次函式。
中心矩
中心矩只有當 ,且X和Y為兩個互相獨立的隨機變數時,中心矩才具有加法性。
中心矩
中心矩
中心矩另一個與中心矩類似,但在 時仍保有加法性的統計量為 n階累積量。
擴展
期望
隨機變數(或統計量,下同)的期望定義為其1階原點矩:
中心矩在方差等定義中,期望也稱為隨機變數的“中心”。顯然,任何隨機變數的1階中心矩為0。
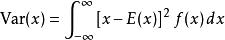
方差
隨機變數的方差定義為其2階中心矩:
中心矩偏態
隨機變數的偏態定義為其3階中心矩:
中心矩峰態
隨機變數的峰態定義為其4階中心矩:
中心矩
