基本信息
中文名稱
峰度係數(又稱 峰度)
英文名稱
Coefficientofkurtosis
定義
峰度是用來反映頻數分布曲線頂端尖峭或扁平程度的指標。有時兩組數據的算術平均數、標準差和偏態係數都相同,但他們分布曲線頂端的高聳程度卻不同。
統計學上是用四階中心矩來測定峰度係數的。因為實驗研究表明,偶階中心矩的大小與圖形分布的峰度係數有關。其中的二階中心矩就是數據的方差,它在一定程度上可以反映分布的峰度係數,但有時方差相同的數據卻有不同的峰度係數,因此就利用四階中心矩來反映分布的尖峭程度。
為了消除變數值水平和計量單位不同的影響,實際工作中是利用四階中心矩與σ4的比值作為衡量峰度的指標,稱為峰度係數。但是在SPSS中的計算公式是四階中心矩與σ4的比值減去3後的值,這個值與0相比,如果為0,說明其峰度係數與常態分配相同。大於0,說明它是比常態分配要陡峭。
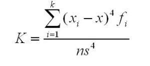
公式
峰度係數以bk表示,xi是樣本測定值,x是樣本n次測定值的平均值。常態分配的峰度係數為3。bk<3稱分布具有不足的峰度,bk>3稱分布具有過度的峰度係數。若知道分布有可能在峰度係數上偏離常態分配時,可用峰度係數來檢驗分布的正態性。次數分配較常態分配曲線平坦者,為低闊峰分配g20.g2=0時為常態分配。簡單來講,峰度係數是描述分布形態的陡緩程度。峰度係數為3表示與常態分配相同,峰度係數大於3表示比常態分配陡峭,小於3表示比常態分配平坦。
其公示見右圖:
峰度係數公式
