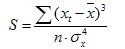
首先計算偏度係數S(對機率密度函式對稱性的度量):

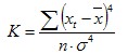
及峰度係數K(對機率密度函式的“胖瘦”的度量):

對於常態分配變數,偏度為零,峰度為3.
Jarque和Bera建立了如下檢驗統計量——JB統計量:

其中,n為樣本容量,S為偏度,K為峰度。
在常態分配的假設下,JB統計量漸進地服從自由度為2的卡方分布, JBasy~χ2(2)。
若變數服從常態分配,則S為零,K為3,因而JB統計量的值為零;如果變數不是正態變數,則JB統計量將為一個逐漸增大值。
如果JB統計量值較大,比如為11,則可以計算出卡方值大於11的機率為0.004,這個機率過小,因此不能認為樣本來自常態分配。反之,成立。
