單項式的次數
概念
一個單項式中,所有字母的指數的和叫做這個單項式的次數。
表示法
次數
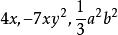
次數例如,在單項式 中,字母x與y的指數和是x的次數1加上y的次數2等於3, 是三次單項式。
次數
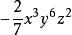
次數在單項式 中,字母x,y與z的指數和是x的次數3加上y的次數6再加上z的次數2等於11.。 的次數是11。
性質
次數
次數單項式的次數隻與字母的指數有關,例如, 中x的指數為1,這個單項式的次數就是1; 的次數為1+2=3,單獨一個數看成單項式時,它的次數為0。
用例
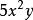
次數求單項式 的係數、次數是多少?
次數
次數解: ,它的係數是 ,單項式的次數是1+3=4。
相關概念
單項式
次數
次數
次數
次數如 ,它們都是數與字母的積,這樣的代數式叫做單項式。單獨一個數或一個字母也是單項式。例如, …都是單項式,在單項式中,數與字母,字母與字母間的運算只能是乘法運算,因此分母不能含有字母,由於除以一個數等於乘以這個數的倒數,那么如 看成 與a的積,它是單項式。
單項式的係數
次數
次數
次數由於單項式是由數與字母的積組成的,其中的數稱為常數因式,叫做這個單項式的係數。如果一個單項式只含有字母因數,它的係數就是1或者-1.如單項式 ,係數是1; 的係數是-1。單項式的係數應包括它前面的符號,例如, 的係數是-4。
次數係數為1時,通常不寫,例如,b的係數為1,係數為-1時,通常只寫負號,例如, 的係數是-1,單獨一個數看成單項式時,係數是它本身。
次數
次數單項式中的數字因數,如,單項式 的係數分別是 。
多項式的次數
概念
多項式的每一項都有次數,其中次數最高的項的次數,就是這個多項式的次數。
表示法
次數例如: 是二次三項式。
用例
次數求 的次數。
次數解: 中三項次數分別為3、4、0,這個多項式的次數就是4。
相關概念
多項式
次數
次數幾個單項式的和叫做多項式,用多項式表示 的和,則其多項式是 。
多項式的項
次數
次數在多項式中,每個單項式叫做這個多項式的項,其中不含字母的項叫做常數項,一個多項式含有幾項就叫幾項式,一個多項式含有幾項,就叫幾項式,如 是三項式, 的常數項是8。

