DOL簡介
經營槓桿原理
指在企業生產經營中由於存在固定成本而使利潤變動率大於產銷量變動率的規律。根據成本性態,在一定產銷量範圍內,產銷量的增加一般不會影響固定成本總額,但會使單位產品固定成本降低,從而提高單位產品利潤,並使利潤增長率大於產銷量增長率;反之,產銷量減少,會使單位產品固定成本升高,從而降低單位產品利潤,並使利潤下降率大於產銷量的下降率。所以,產品只有在沒有固定成本的條件下,才能使貢獻毛益等於經營利潤,使利潤變動率與產銷量變動率同步增減。但這種情況在現實中是不存在的。這樣,由於存在固定成本而使利潤變動率大於產銷量變動率的規律,在管理會計和企業財務管理中就常根據計畫期產銷量變動率來預測計畫期的經營利潤。為了對經營槓桿進行量化,企業財務管理和管理會計中把利潤變動率相當於產銷量(或銷售收入)變動率的倍數稱之為“經營槓桿係數”、“經營槓桿率”,並用下列公式加以表示:
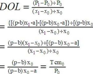
經營槓桿係數(DOL)=息稅前利潤變動率/銷售量變動率
=(銷售收入-總變動成本)/(銷售收入-總變動成本-總固定成本)
=Q(P-V)/[Q(P-V)-F]
DOL經營槓桿係數也可採用以下公式計算:
在求得經營槓桿係數以後,假定固定成本不變,即可用下列公式預測計畫期的經營利潤:
計畫期經營利潤=基期經營利潤×(1+產銷量變動率×經營槓桿係數)
在某一固定成本比重的作用下,銷售量變動對利潤產生的作用,被稱為經營槓桿。由於經營槓桿對經營風險的影響最為綜合,因此常常被用來衡量經營風險的大小。經營槓桿的大小一般用經營槓桿係數表示,即EBIT變動率與銷售量變動率之間的比率。
經營槓桿係數
企業經營風險的大小常常使用經營槓桿來衡量,經營槓桿的大小一般用經營槓桿係數表示,它是企業計算利息和所得稅之前的盈餘變動率與銷售額變動率之間的比率。
第一,它體現了利潤變動和銷量變動之間的變化關係;
第二,經營槓桿係數越大,經營槓桿作用和經營風險越大;
第三,固定成本不變,銷售額越大,經營槓桿係數越小,經營風險越小,反之,則相反;
第四,當銷售額達到盈虧臨界點時,經營槓桿係數趨近於無窮大。
企業一般可通過增加銷售額,降低單位變動成本和固定成本等措施來降低經營槓桿和經營風險。
經營槓桿係數的意義
為了反映經營槓桿的作用程度、估計經營槓桿利益的大小、評價經營風險的高低,必須要測算經營槓桿係數。一般而言,經營槓桿係數越大,對經營槓桿利益的影響越強,經營風險也越大。
控制經營槓桿的途徑
企業一般可以通過增加銷售金額、降低產品單位變動成本、降低固定成本比重等措施使經營槓桿率下降,降低經營風險。
可以從兩個方面來理解經營槓桿:
一方面是從經營槓桿係數的計算公式可以看出來,單價和銷售量增加,邊際貢獻就會增加,經營槓桿係數=邊際貢獻/(邊際貢獻-固定成本),因為分母還要減去一個固定成本,分母總是小於分子的,因此同時增加一個數值時,相對於金額較大的分子來說,它增加的幅度相對較小,而相對於金額較小的分母來說,它增加的幅度相對要大,所以分母增加比例越大,則整個式子越小,即經營槓桿係數越小,舉例:如邊際貢獻=100,固定成本=20,則經營槓桿係數=100/(100-20)=1.25,當由於單價上升而使邊際貢獻增加20時,即邊際貢獻=120,固定成本不變,則120/(120-20)=1.2<1.25,即經營槓桿係數變小,兩者呈反方向變化,其他也一樣分析。
另一方面:我們可以知道經營槓桿係數越大經營風險則越大,如果單價和銷售量增加,那不相當於可以得到更多的利潤嗎?經營風險就會越小的,經營槓桿係數也會越小,所以其與經營槓桿係數呈反方向變化。
DOL無盤
DOL無盤計量單位
疼痛計量單位Dol
用凸透鏡將光聚焦於皮膚3秒鐘,藉以測定疼痛感覺的方法。將聚焦熱線從遠逐漸移近皮膚,當患者開始從熱感轉變為痛感時,此時的熱量即為疼痛閾值,其單位是Dol,以gmcal/see/cm表示。這是臨床較為簡便實用的測痛方法。

