一張平面π可以由π上任意一點和垂直於π的任意一個向量完全確定。垂直於π的任意向量稱為π的法向量。
點法式方程
點法式方程
點法式方程
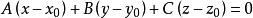
點法式方程設是平面π上一個確定的點,是π上任一點,向量與π垂直,則
點法式方程即
點法式方程
點法式方程顯然,平面π上任意一點的坐標都滿足這個方程。而坐標滿足方程的點都在π上。於是這個方程就是過點且與向量垂直的平面π的方程,稱為平面的點法式方程。
平面π上任意一點的坐標都滿足這個方程。而坐標滿足方程的點都在π上。於是這個方程就是過點且與向量垂直的平面π的方程,稱為平面的點法式方程。
一張平面π可以由π上任意一點和垂直於π的任意一個向量完全確定。垂直於π的任意向量稱為π的法向量。
點法式方程
點法式方程
點法式方程
點法式方程設是平面π上一個確定的點,是π上任一點,向量與π垂直,則
點法式方程即
點法式方程
點法式方程顯然,平面π上任意一點的坐標都滿足這個方程。而坐標滿足方程的點都在π上。於是這個方程就是過點且與向量垂直的平面π的方程,稱為平面的點法式方程。
平面的點法式方程(point normal form equatio-n of a plane)是平面方程的一種形式.在空間直角坐標系中,給定...的點法式方程 ...
“平面方程”是指空間中所有處於同一平面的點所對應的方程,其一般式形如Ax+By+Cz+D=0。
定義 類型平面方程的三種形式之一,另兩種是平面的一般方程和平面的點法式方程。
常微分方程數值解法(numerical methods for ordinary differential equations)計算數學的一個分支。是解...
定義 基本途徑 基本問題 數值解法稱為本構方程。對於彈性體的某一點的本構方程,除考慮該點本身外還要考慮...一組偏侮分方程的問題。 主要解法式(1)、(2)、(3)中有15個變數...出了應變、應變分量、應力和應力分量概念,建立了彈性力學的幾何方程、平衡...
簡介 發展簡史 基本內容 基本假定 分支學科方程(1a)在P點的依賴域(圖1)。現以初值問題(1)為例介紹初值問題差...一個依賴域,差分方程也是如此,對於差分方程(6),點 的依賴域是初值線上區間 。如令 =常數, ,則差分方程(6)在點 的依賴域為 ,並且步長...
概述 偏微分方程初值問題的差分法 差分方法的發展和套用 參考書目電流法的著重注意點。4、如R為迴路1和迴路2共同電阻,那么列迴路2方程時...列出獨立迴路的電壓方程,然後聯立求解的方法。迴路電流是根據電流連續性原理...的獨立方程。 獨立迴路是指該迴路中的KVL方程線性無關,在電路計算中通常...
基本信息 求解方程 求解舉例 套用範圍、向量積,兩向量的夾角,平行、垂直的條件。空間平面:平面的點法式方程...,向量的運算,平面的點法式方程,直線的標準方程。難點:建立空間概念,向量...概念、坐標表示,掌握向量平行和垂直的判別條件。掌握平面的點法式方程和...
基本信息 《高等數學》: 內容及要求 學習途徑 編輯推薦正文n個變數n個方程(n 1)的方程組表示為 非線性方程組數值解法...的解法也不象線性方程組那樣有效。除極特殊的方程外,一般不能用直接方法求得...中 非線性方程組數值解法 是ƒ(尣)的雅可比矩陣,尣是方程(1)的解尣...
正文 割線法 參考書目