平面截距式方程
平面截距式方程設平面與x,y,z三軸分別交於(a,0,0),(0,b,0),(0,0,c)三點,其中 。設平面的一般方程為 ,把上述三點左邊代入方程得
平面截距式方程
平面截距式方程
平面截距式方程
平面截距式方程
平面截距式方程
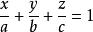
平面截距式方程解得 ,把這個結果代入一般方程,然後化簡,(化簡時要注意到,因為平面不過原點,所以 ,所以等式兩邊可以同時除以 )得到
平面截距式方程我們把a,b,c叫做截距(這裡要注意到,截距可正可負,它代表著平面跟坐標軸相交的那個坐標當中的非零值),因此上面的形式就叫做平面的截距式方程。
