發現過程
關於麻痹性貝毒中毒事件,在17世紀時的北美與歐洲已有類似事件的記載,但是當時對病因仍不清楚,直到1928年有報告對麻痹性貝毒中毒的症狀加以描述,並推測毒素的來源可能來自於渦鞭毛藻;隨後又由餵食毒藻的貽貝實驗中得到上述假說的證實,而麻痹性貝毒一系列毒素的化學結構也在1957年由石房蛤(Saxidomus giganteus)中所分離出的石房蛤毒素Saxitoxin(STX)首次確認。
來源
麻痹性貝毒素(paralytic shellfish poisoning,PSP)來源於赤潮中的有毒藻類。主要由塔瑪亞歷山大藻(Alexandrium tamarensis)、微小亞歷山大藻(A.minutum)、鏈狀亞歷山大藻(A. catenella)等分泌產生。此外,細菌、藍藻、紅藻中的一些種類也可以產生PSP毒素。1999年在淡水藍藻中也發現了PSP毒素。
分類
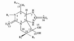
麻痹性貝毒是一類四氫嘌呤的三環化合物,已發現的毒素根據取代基的不同進行分類,C11上存在同分異構現象,在貝類體內,β異構體可以轉化成更加穩定的α異構體,其物質的量比(α/β)可以用來分析貝類的染毒時間。
根據基團的相似性,麻痹性貝毒可分為四類:氨基甲酸酯類毒素(Carbamate toxins),包括石房蛤毒素(Saxitoxin,STX),新石房蛤毒素(Neosaxitoxin,NEO),膝溝藻毒素(Gonyautoxin),包括膝溝藻毒素GTX1,GTX2,GTX3和GTX4;N-磺醯氨甲醯基類毒素(N-sulfocarbamoyl toxins),包括C1、C2、C3、C4、GTX5(B1)和GTX6(B2);脫氨甲醯基類毒素(Decarbamoyltoxins),包括Decarbamoyl saxitoxin(dcSTX),Decarbamoyl neosaxitoxin(dcneoSTX),Decarbamoylgonyautoxins1-4(dcGTX1-4);脫氧脫氨甲醯基類毒素(Deoxydecarbamoyl toxins)。
毒理
毒性
麻痹性貝毒是很強的毒素之一,其毒性與河豚毒素相當。PSP毒素的毒性很強,攝入1mg就可致人死亡。 對動物神經系統和心血管系統有高度特異性,使人中毒的範圍在600—5000Mu(Mu為毒力單位,1Mu是指使18—22g的小白鼠在15min內死亡的毒力),致死劑量為3000—30 000Mu。
中毒機制
PSP毒素屬於胍類毒素,其活性部位為7,8,9位的胍基,與可興奮細胞膜上的電壓門控Na+通道位點1的胺基酸殘基高親和,通過選擇性阻斷Na+內流,阻礙動作電位的形成而起抑制作用。由於神經鈉通道、腦鈉通道、心鈉通道、骨骼肌鈉通道等各種鈉通道存在差別,PSP毒素7,8,9位的胍基與鈉通道胺基酸殘基的結合也有所不同,但都是與更靠近鈉通道外口的胺基酸殘基結合。
此外,PSP毒素的C-12位的羥基(作為水合酮)和氨甲醯基側鏈官能團對通道阻斷也起一定作用,但不是關鍵性作用。
PSP在貝類體內呈結合狀態,因而貝類攝入此毒素對自身不會造成危害;當人攝入含麻痹性貝素的食物後,毒素會迅速釋放並呈現毒性作用,潛伏期僅數分鐘或數小時,症狀包括四肢肌肉麻痹、頭痛噁心、流涎發燒、皮疹等,嚴重者肌肉麻痹、呼吸困難、甚至窒息而死亡。
檢測
檢測標準
80%以上的國家和地區使用小白鼠生物分析法分析PSP毒性,僅荷蘭、丹麥及英國(蘇格蘭)規定同時使用HPLC(高效液相色譜)方法分析PSP毒性。警戒(安全)PSP毒性一般規定為80µg STXeq/100g,即相當於400MU/100g,這在整個歐洲國家屬於政府規定標準。美國、日本、韓國和澳大利亞等國均採用這一標準,這一標準也是聯合國衛生組織和聯合國糧農組織規定及推薦的標準。
菲律賓和挪威的PSP毒性警戒標準限制為40µg STXeq/100g,相當於200MU/100g。英國的北愛爾蘭則將PSP毒性警戒標準規定為32µg STXeq/100g。
依據上述情況,中國將PSP毒性的警戒標準暫定為80µg STXeq/100g,即每100 貝類軟組織中PSP毒性的STX當量值不得高於80µg(對KM系小白鼠而言,約423 MU/100g)。
檢測方法
生物分析法:小鼠生物法是利用麻痹性貝毒易溶於酸性溶液,酸性條件下熱穩定的性質,在pH2-3,煮沸5min提取麻痹性貝類毒素,對小鼠進行腹腔注射,小鼠產生特殊的抽搐麻痹症狀並死亡,根據小鼠死亡時間,判斷毒性大小。
理化分析法:將毒素分子通過鹼性氧化成為螢光衍生物或有色生物後通過紫外或螢光檢測系統進行分析檢測。高效液相色譜法 (HPLC)是最常用的理化分析法。
免疫化學法:PSP 為小分子物質,不具有免疫原性,需要將其連線到大分子載體上,使其成為完全抗原,再用來免疫動物。一般採用小劑量長周期免疫方案製備單克隆抗體。免疫化學檢測法檢出限低且干擾少,對樣品前處理要求較低、簡便、快速、特異、經濟,因此具有極高的推廣價值。
毒素鏈
藻類是海洋生物初級生產者的食物來源,草食性魚類及濾食性貝類(如西施舌貝、牡蠣、文蛤、海瓜子、淡菜)都以藻類為主食,濾食性貝類在攝食毒藻後,毒素不會排出體外,所以PSP很容易蓄積在體內。
然後在食物鏈供應下,一級肉食動物吃草食性動物、濾食性貝類;大型魚類和無脊椎動物等二級肉食動物吃一級肉食動物;三級兇猛和哺乳動物吃二級肉食動物。有些抵抗力弱的海洋生物(如魚類),誤食有毒生物後,很容易中毒死亡。但是像西施舌貝、銅鑄熟若蟹這類抵抗力較強的生物,會蓄積毒素在體內,更進而轉化成貝毒,只是物種、發生地不同,所含的毒素也不盡相同。
中毒事件
因為毒藻之害所引起的貝毒案例相當多,分布於全球各地。日本的長崎、三重、岩手,美國的華盛頓、麻薩諸塞、阿拉斯加,加拿大,南太平洋洲的紐西蘭布蘭堤灣、澳洲瑞納港,歐洲的法國莫內港,智利,以及中國台灣都發生過麻痹性貝毒。在1999年之前,中國已有24人死於麻痹性貝毒中毒。
紫貽貝 2012年11月5日,香港食物安全中心接獲澳洲當局通知,一批來自澳洲生產的活紫貽貝,驗出麻痹性貝類毒素。香港食安中心巡查市面零售點後,暫未發現有關食品出售,呼籲市民如購入相關產品,應立即停止食用有關食品,業界也應停止售賣有關食品。

