基本簡介
通用名
鹽酸氨基葡萄糖
英文名
Glucosamine hydrochloride Capsules
主要成分
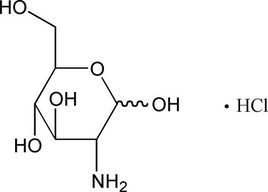
鹽酸氨基葡萄糖,其化學名為:2-氨基-2-脫氨-葡萄糖
鹽酸鹽:其結構式為
分子式:C6H13N05· HC1
分子量:215.63
性狀
本品為膠囊劑,內溶物為白色或類白色顆粒性或結晶性粉末
藥代動力學
口服後90%氨基葡萄糖被身體吸收,但血漿中檢測不到游離的氨基葡萄糖,氨基葡萄糖迅速與血漿中α球蛋白和β球蛋白結合,結合的氨基葡萄糖在8小時左右達峰值,消除半衰期為70小時。本品在肝、腎及關節軟骨等組織器官的濃度高,約有10%氨基葡萄糖經尿液排出體外,11%經糞便排出體外。
適應症
用於治療和預防全身各種關節的骨性關節炎,包括膝關節、肩關節、髖關節、手腕關節、頸及脊椎關節和踝關節等,可緩解和消除骨性關節炎的疼痛、腫脹等症狀,改善關節活動功能。
用法用量
口服,0.24g一次服2粒,一天三次;0.75g(一次一粒),一日兩次,吃飯時或飯後服用,6周為一個療程或根據需要延長。每年重複治療2~3次。
不良反應
此藥耐受性良好,偶爾會發生輕微的胃腸道不適,如噁心、胃灼熱、腹瀉,以及頭暈、過敏等症狀。
禁忌症
對本品過敏者禁用。
注意事項
本品宜在飯時或飯後服用,可減少胃腸道不適,特別是有胃潰瘍的患者。
孕婦及哺乳期婦女用藥
孕婦及哺乳期婦女使用本品的安全性尚未有充分研究,因此應慎用,或遵醫囑。
兒童用藥
尚不清楚,故不建議兒童服用。
藥物相互作用
氨基葡萄糖可能會增加非甾體抗炎藥(NSAIDS)如布洛芬的抗炎作用,因此同時服用非甾體抗炎藥的患者
可能需降低本品的服用劑量,或降低非甾體抗炎藥的服用劑量,氨基葡萄糖與利尿藥可能存在相互作用兩
藥同服可能需增加利尿藥的服用劑量。
規格
0.24g,0.75g (以鹽酸氨基葡萄糖計)
貯藏
避光、密閉、25℃以下保存。

