基本概念
高通濾波器種類
高通濾波器無源高通濾波器:僅由無源元件(R、L和C)組成的濾波器,它是利用電容和電感元件的電抗隨頻率的變化而變化的原理構成的。這類濾波器的優點是:電路比較簡單,不需要直流電源供電,可靠性高;缺點是:通帶內的信號有能量損耗,負載效應比較明顯,使用電感元件時容易引起電磁感應,當電感L較大時濾波器的體積和重量都比較大,在低頻域不適用。
有源高通濾波器:由無源元件(一般用R和C)和有源器件(如集成運算放大器)組成。這類濾波器的優點是:通帶內的信號不僅沒有能量損耗,而且還可以放大,負載效應不明顯,多級相聯時相互影響很小,利用級聯的簡單方法很容易構成高階濾波器,並且濾波器的體積小、重量輕、不需要磁禁止(由於不使用電感元件);缺點是:通帶範圍受有源器件(如集成運算放大器)的頻寬限制,需要直流電源供電,可靠性不如無源濾波器高,在高壓、高頻、大功率的場合不適用。
(2)按照濾波器的數學特性分為一階高通濾波器、二階高通濾波器等。
以上兩種分類方法相互獨立。有源高通濾波器更為常見,如一階有源高通濾波器、二階有源高通濾波器等。其中一階有源高通濾波器較為簡單,其電路原理圖和幅頻特性曲線分別如圖所示。
一階有源高通濾波器 | 一階有源高通濾波器幅頻特性曲線 |
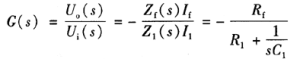
傳遞函式為:

頻率特性為:

幅頻特性為:

相頻特性為:

套用
在電力系統中,諧波補償時用高通濾波器濾除某次及其以上的各次諧波。

一階有源高通濾波器
一階有源高通濾波器幅頻特性曲線