馬爾可夫參數估計
正文
通過對傳遞函式陣(見傳遞函式)的辨識求出馬爾可夫參數,以建立系統最小實現狀態方程的非參數模型辨識方法。對於離散的單輸入單輸出系統,脈衝回響權序列{hi,i=0,1,…}的Z變換就是脈衝傳遞函式H(z),即
。對於滿足完全可觀測和完全可控條件的多輸入多輸出系統,存在著形式上與{hi}序列相似的非參數模型{Ji,i=0,1,…}。如果多輸入多輸出的傳遞函式陣為G(z),它可以表示為 G(z)=D+J0z-1+J1z-2+…
這個矩陣序列{Ji,i=0,1,…}稱為多輸入多輸出系統的馬爾可夫參數。多輸入多輸出系統辨識的困難在於無法得到惟一解,但可考慮其最小實現的辨識。設線性定常系統為x(k+1)=Ax(k)+Bu(k)
y(k)=Cx(k)+Du(k)
式中x(k)是n維狀態向量,y(k)是m維觀測向量,u(k)為r維輸入。系統的等價類上的傳遞函式為G(z)=C(zI-A)-1B+D
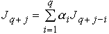
由定義Ji
CAiB 所給出的馬爾可夫參數與G(z)之間的關係即符合上述Z變換的關係。由馬爾可夫參數{Ji}構成的漢克爾矩陣Hn為 
。