歷史
對EM算法的研究起源於統計學的誤差分析(error analysis)問題。1886年,美國數學家Simon Newcomb在使用高斯混合模型(Gaussian Mixture Model, GMM)解釋觀測誤差的長尾效應時提出了類似EM算法的疊代求解技術 。在極大似然估計(Maximum Likelihood Estimation, MLE)方法出現後,英國學者Anderson McKendrick在1926年發展了Newcomb的理論並在醫學樣本中進行了套用 。1956年,Michael Healy和Michael Westmacott提出了統計學試驗中估計缺失數據的疊代方法 ,該方法被認為是EM算法的一個特例 。1970年,B. J. N. Blight使用MLE對指數族分布的I型刪失數據(Type I censored data)進行了討論 。Rolf Sundberg在1971至1974年進一步發展了指數族分布樣本的MLE並給出了疊代計算的完整推導 。
EM算法的正式提出來自美國數學家Arthur Dempster、Nan Laird和Donald Rubin,其在1977年發表的研究對先前出現的作為特例的EM算法進行了總結並給出了標準算法的計算步驟,EM算法也由此被稱為Dempster-Laird-Rubin算法 。1983年,美國數學家吳建福(C.F. Jeff Wu)給出了EM算法在指數族分布以外的收斂性證明 。
此外,在二十世紀60-70年代對隱馬爾可夫模型(Hidden Markov Model, HMM)的研究中,Leonard E. Baum提出的基於MLE的HMM參數估計方法,即Baum-Welch算法(Baum-Welch algorithm)也是EM算法的特例之一 。
理論
最大期望算法
最大期望算法
最大期望算法
最大期望算法
最大期望算法
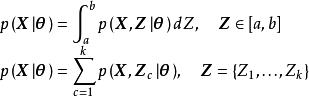
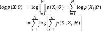
最大期望算法EM算法是基於極大似然估計(Maximum Likelihood Estimation, MLE)理論的最佳化算法。給定相互獨立的觀測數據 ,和包含隱變數 、參數 的機率模型 ,根據MLE理論, 的最優單點估計在模型的似然取極大值時給出: 。考慮隱變數,模型的似然有如下展開 :
最大期望算法
最大期望算法隱變數可以表示缺失數據,或機率模型中任何無法直接觀測的隨機變數,式中第一行是隱變數為連續變數的情形,第二行是隱變數為離散變數的情形,積分/求和的部分也被稱為 的聯合似然(joint liklihood)。不失一般性,這裡按離散變數為例進行說明。由MLE的一般方法,對上式取自然對數後可得 :
最大期望算法
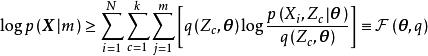
最大期望算法上述展開考慮了觀測數據的相互獨立性。引入與隱變數有關的機率分布,即隱分布(可認為隱分布是隱變數對觀測數據的後驗分布,參見標準算法的E步推導),由Jensen不等式,觀測數據的對數似然有如下不等關係 :
最大期望算法
最大期望算法
最大期望算法
最大期望算法
最大期望算法
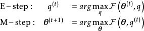
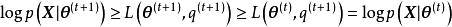
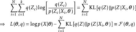
最大期望算法當 使不等式右側取全局極大值時,所得到的 至少使不等式左側取局部極大值。因此,將不等式右側表示為 後,EM算法有如下求解目標 : 式中的 等效於MM算法(Minorize-Maximization algorithm)中的代理函式(surrogate function),是MLE最佳化問題的下限,EM算法通過最大化代理函式逼近對數似然的極大值。
算法
標準算法
計算框架
EM的計算框架:對數似然(藍),E步(綠),M步(實心點)
最大期望算法
最大期望算法
最大期望算法
最大期望算法
最大期望算法
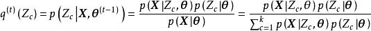
最大期望算法EM標準算法是一組疊代計算,疊代分為兩部分,即E步和M步,其中E步“固定”前一次疊代的 ,求解 使 取極大值;M步使用 求解 使 取極大值。EM算法在初始化模型參數後開始疊代,疊代中E步和M步交替進行。由於EM算法的收斂性僅能確保局部最優,而不是全局最優 。因此通常對EM算法進行隨機初始化並多次運行,選擇對數似然最大的疊代輸出結果 。以下給出EM算法E步和M步的推導。
1. E步(Expectation-step, E-step)
由EM算法的求解目標可知,E步有如下最佳化問題 :
最大期望算法
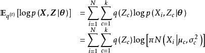
最大期望算法考慮先前的不等關係,這裡首先對 進行展開 :
最大期望算法由貝葉斯定理(Bayes' theorem),上式可化為 :
E步:最佳化代理損失(左),原最佳化目標(右)
最大期望算法
最大期望算法
最大期望算法
最大期望算法
最大期望算法
最大期望算法
最大期望算法
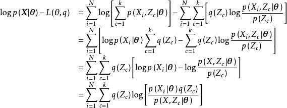
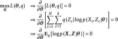
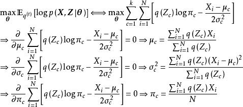
最大期望算法式中為Kullback-Leibler散度(Kullback-Leibler divergence, KL)或相對熵(relative entropy),表示吉布斯自由能(Gibbs free energy),即由Jensen不等式得到的代理函式等價於隱分布的自由能。求解的極大值等價於求解隱分布自由能的極大值,即隱分布對隱變數後驗的KL散度的極小值。由KL散度的性質可知,其極小值在兩個機率分布相等時取得,因此當時,取極大值,對EM算法的第次疊代,E步有如下計算 :
最大期望算法2. M步(Maximization step, M-step)
最大期望算法
最大期望算法在E步的基礎上,M步求解模型參數使 取極大值。該極值問題的必要條件是 :
最大期望算法
最大期望算法
最大期望算法
最大期望算法
最大期望算法式中 表示聯合似然 對隱分布 的數學期望。在 為凸函式時(例如隱變數和觀測服從指數族分布),上述推導也是充分的 。由此得到M步的計算:
最大期望算法計算步驟
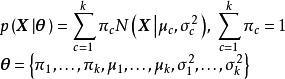
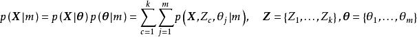
將統計模型帶入EM算法的計算框架即可得到其計算步驟。這裡以高斯混合模型(Gaussian Mixture Model, GMM)為例進行說明。由GMM的一般定義可知,其似然和參數有如下表示 :
最大期望算法
最大期望算法
最大期望算法
最大期望算法
最大期望算法
最大期望算法
最大期望算法
最大期望算法
最大期望算法
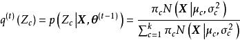
最大期望算法根據學習數據的維度,式中 表示均值為 ,方差/協方差為 的常態分配/聯合常態分配。 為常態分配的混合比例, 為參與混合的分布總數。定義與觀測數據有關的隱變數: ,令隱分布 表示GMM聚類的軟指定(soft assignment),即每個數據來源於第 個分布的機率,則隱變數有離散取值 。
將上述內容帶入EM算法的計算框架後,E步有如下展開 :
最大期望算法
最大期望算法GMM中有: ,因此E步的計算步驟為:
最大期望算法M步通過E步輸出的隱變數後驗分布計算模型參數,在GMM中,M步計算框架的最佳化問題有如下表示 :
最大期望算法
最大期望算法不失一般性,帶入單變數常態分配的解析形式後對模型參數求偏導數可得M步的計算步驟 :
根據以上計算步驟,這裡給出一個在Python 3環境使用EM算法求解GMM的編程實現:
改進算法
基於貝葉斯推斷 (Bayesian inference)的EM算法
最大期望算法
最大期望算法在MLE理論下,EM算法僅能給出模型參數 的單點估計,引入貝葉斯推斷方法後,EM算法能夠給出模型參數的後驗(posterior)分布避免過度擬合,其中常見的例子是極大後驗估計(Maximum A Posteriori estimation, MAP)的EM算法 。MAP-EM在標準EM算法的基礎上引入了模型參數的先驗(prior):,此時MAP-EM的最佳化目標由模型的似然轉變為後驗,其離散形式可表示為 :
最大期望算法
最大期望算法類比標準EM算法,考慮隱分布後,由Jensen不等式可得到對數後驗的代理函式,即隱變數的自由能 :
最大期望算法由此可得MAP-EM的疊代步驟:
最大期望算法
最大期望算法
最大期望算法MAP-EM在Dempster et al. (1977)就已被提出 ,但不同於標準EM,MAP-EM的隱分布是隱變數和模型參數的聯合分布,其對應的隱變數後驗往往沒有解析形式。在貝葉斯體系下,求解該隱變數後驗的方法包括馬爾可夫鏈蒙特卡羅(Markov Chain Monte Carlo, MCMC)和變分貝葉斯估計(Variational Bayesian Inference, VBI),對前者,可證明由MCMC求解的MAP-EM等價于吉布斯採樣(Gibbs sampling)算法 ;對後者,由VBI求解的MAP-EM被稱為變分貝葉斯EM算法(Variational Bayesian EM algorithm, VBEM) 。
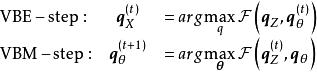
最大期望算法VBEM使用平均場理論(Mean Field Theory, MFT)將隱分布近似為其在各個維度上分布的乘積:並由此得到以下疊代步驟 :
最大期望算法
最大期望算法使用VBEM的常見例子是語言建模問題中的隱含狄利克雷分布(latent dirichlet allocation) 。
EM梯度算法(EM gradient algorithm)和廣義EM算法(Generalized EM algorithm, GEM)
最大期望算法
最大期望算法EM算法的M步通過計算偏導數求解代理函式的極大值,EM梯度算法(EM gradient algorithm)將該過程替換為牛頓疊代法(Newton-Raphson method)以加速疊代收斂 。更進一步地,當代理函式 不是凸函式或無法有效地對 求解極大值時,可以使用廣義EM算法(GEM)。GEM有兩種實現方式,一是在M步使用非線性最佳化策略,例如共軛梯度算法(conjugate gradients algorithm) ,二是將原M步的求導計算分解為多個條件極值問題逐個計算模型參數,後者也被稱為最大條件期望算法(Expectation Conditional Maximization algorithm, ECM) 。
最大期望算法
最大期望算法EM算法的E步也可以按ECM的方法分解為條件極值問題,由先前推導可知,E步的最佳化問題僅有一個全局極大值,即隱分布 ,因此在E步將MLE的最佳化目標:聯合似然 對觀測樣本按因子展開並對每個展開分別使用EM算法,可以得到同樣的最佳化結果。對於M步,如果觀測樣本來自指數族分布,則M步也可以在每次疊代僅對有限個樣本的展開進行。在指數族問題中使用EM算法的上述推廣,可以避免在疊代中反覆處理整個觀測樣本集,降低計算開銷 。
α-EM算法(α-EM algorithm)
最大期望算法
最大期望算法
最大期望算法α-EM算法是對標準算法的隱變數機率分布引入權重係數 的改進版本。標準的EM算法是α-EM算法在 時的特例。給定恰當的超參數 ,α-EM能夠比標準EM算法更快收斂。有研究將α-EM算法套用於神經網路的機率學習和隱馬爾可夫模型的參數估計 。
性質
收斂性與穩定性:EM算法必然收斂於對數似然的局部極大值或鞍點(saddle point),其證明考慮如下不等關係 :
最大期望算法
最大期望算法
最大期望算法
最大期望算法
最大期望算法由上式可知EM算法得到的對數似然是單調遞增的,即從 次疊代到 次疊代,EM算法至少能維持當前的最佳化結果,不會向極大值的相反方向運動,因此EM算法具有數值穩定性(numerical stablility)。上述不等關係也被用於EM算法疊代終止的判定,給定計算精度 ,當 時疊代結束。EM算法收斂性的具體證明參見Wu (1983) 。
計算複雜度:在E步具有解析形式時,EM算法是一個計算複雜度和存儲開銷都很低的算法,可以在很小的計算資源下完成計算 。在E步不具有解析形式或使用MAP-EM時,EM算法需要結合其它數值方法,例如變分貝葉斯估計或MCMC對隱變數的後驗分布進行估計,此時的計算開銷取決於問題本身 。
與其它算法的比較:相比於梯度算法,例如牛頓疊代法和隨機梯度下降(Stochastic Gradient Descent, SGD),EM算法的優勢是其求解框架可以加入求解目標的額外約束,例如在高斯混合模型的例子中,EM算法在求解協方差時可以確保每次疊代的結果都是正定矩陣 。EM算法的不足在於其容易陷入局部最優,在高維數據的問題中,局部最優和全局最優可能有很大差異 。
套用
最大期望算法EM算法及其改進版本被用於機器學習算法的參數求解,常見的例子包括高斯混合模型(Gaussian Mixture Model, GMM) 、機率主成份分析(probabilistic Principal Component Analysis) 、隱馬爾可夫模型(Hidden Markov Model, HMM) 等非監督學習算法。EM算法可以給出隱變數,即缺失數據的後驗分布 ,因此在缺失數據問題(incomplete-data probelm)中有重要套用 。

