定義
餘弦[三角函式的一種]
餘弦[三角函式的一種]
餘弦[三角函式的一種]
餘弦[三角函式的一種]
餘弦[三角函式的一種]角 的鄰邊比斜邊 叫做 的餘弦,記作 (由余弦英文cosine簡寫 ),即 角的鄰邊/斜邊(直角三角形)。記作 cos=x/r。
餘弦[三角函式的一種]
餘弦[三角函式的一種]
餘弦[三角函式的一種]
餘弦[三角函式的一種]
餘弦[三角函式的一種]餘弦函式的定義域是整個實數集,值域是 。它是周期函式,其最小正周期為 。在自變數為 ( 為整數)時,該函式有極大值1;在自變數為 時,該函式有極小值-1。餘弦函式是偶函式,其圖像關於y軸對稱。
餘弦[三角函式的一種]
餘弦[三角函式的一種]
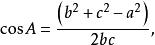
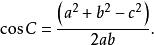
餘弦[三角函式的一種]三角形任何一邊的平方等於其他兩邊平方的和減去這兩邊與它們夾角的餘弦的積的兩倍,即在餘弦定理中,令 ,這時 ,所以。
(1)已知三角形的三條邊長,可求出三個內角;
(2)已知三角形的兩邊及夾角,可求出第三邊;
(3)已知三角形兩邊及其一邊對角,可求其它的角和第三條邊。(見解三角形公式,推導過程略。)
餘弦定理
餘弦定理亦稱第二餘弦定理。關於三角形邊角關係的重要定理之一。該定理斷言:三角形任一邊的平方等於其他兩邊平方和減去這兩邊與它們夾角的餘弦的積的兩倍。若a、b、c分別表示∆ABC中A、B、C的對邊,則餘弦定理可表述為 :
餘弦[三角函式的一種]
餘弦[三角函式的一種]
餘弦[三角函式的一種]餘弦定理還可以用以下形式表達:
餘弦[三角函式的一種]
餘弦[三角函式的一種]
餘弦[三角函式的一種](物理力學方面的平行四邊形定則中也會用到)
第一餘弦定理
任意三角形射影定理
餘弦[三角函式的一種]
餘弦[三角函式的一種]
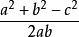
餘弦[三角函式的一種]設 的三邊是 ,它們所對的角分別是 ,則有
餘弦[三角函式的一種]兩根判別法
若記m(c,c)為c的兩值為正根的個數,c為c的表達式中根號前取加號的值,c為c的表達式中根號前取減號的值:
①若m(c,c)=2,則有兩解;
②若m(c,c)=1,則有一解;
③若m(c,c)=0,則有零解(即無解)。
注意:若c等於c且c或c大於0,此種情況算到第二種情況,即一解。
角邊判別法
1、當a>bsinA時:
①當b>a且cosA>0(即A為銳角)時,則有兩解;
②當b>a且cosA≤0(即A為直角或鈍角)時,則有零解(即無解);
③當b=a且cosA>0(即A為銳角)時,則有一解;
④當b=a且cosA≤0(即A為直角或鈍角)時,則有零解(即無解);
⑤當b<a時,則有一解。
2、當a=bsinA時:
①當cosA>0(即A為銳角)時,則有一解;
②當cosA≤0(即A為直角或鈍角)時,則有零解(即無解)。
3、當a<bsinA時,則有零解(即無解)。
證明方法
平面向量證法
∵ a+ b= c,(平行四邊形定則:兩個鄰邊之間的對角線代表兩個鄰邊大小)
∴ c· c=( a+ b)·( a+ b)。
∴ c = a· a+2 a· b+ b· b∴ c = a + b +2| a|| b| Cos(π-θ),(以上粗體字元表示向量)
又∵ Cos(π-θ) = - CosC,
∴c =a +b -2|a||b| Cosθ。(注意:這裡用到了三角函式公式)
再拆開,得c =a +b -2ab CosC,
餘弦[三角函式的一種]即 CosC=。
同理可證其他,而下面的 CosC=(c -b -a )/(2ab)就是將 CosC移到左邊表示一下。
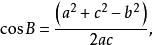
平面幾何證法
在任意△ABC中,
做AD⊥BC,交BC於D,
∠C所對的邊為c,∠B所對的邊為b,∠A所對的邊為a,
則有BD=c*cosB,AD=c*sinB,DC=BC-BD=a-c*cosB。
根據勾股定理可得:
AC =AD +DC ,
b =(c*sinB) +(a-c*cosB) ,
b =(c*sinB) +a -2ac*cosB+(cosB) *c ,
b =(sin B+cos B)*c -2ac*cosB+a ,
b =c +a -2ac*cosB,
cosB=(c +a -b )/2ac。
三角恆等變換
二倍角公式
餘弦[三角函式的一種]三倍角公式
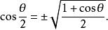
餘弦[三角函式的一種]半角公式
餘弦[三角函式的一種]冪簡約公式
餘弦[三角函式的一種]
餘弦[三角函式的一種]和差化積公式
餘弦[三角函式的一種]
餘弦[三角函式的一種]萬能公式
餘弦[三角函式的一種]其他
用其它三角函式來表示餘弦
| 函式 | 餘弦[三角函式的一種] | 餘弦[三角函式的一種] | 餘弦[三角函式的一種] | 餘弦[三角函式的一種] | 餘弦[三角函式的一種] | 餘弦[三角函式的一種] |
餘弦[三角函式的一種] | 餘弦[三角函式的一種] | 餘弦[三角函式的一種] | 餘弦[三角函式的一種] | 餘弦[三角函式的一種] | 餘弦[三角函式的一種] | 餘弦[三角函式的一種] |
兩個角的和及差的餘弦
餘弦[三角函式的一種]
餘弦[三角函式的一種]同角三角函式的基本關係式
倒數關係:tanα ·cotα=1、sinα ·cscα=1、cosα ·secα=1;
商的關係: sinα/cosα=tanα=secα/cscα、cosα/sinα=cotα=cscα/secα;
和的關係:sin2α+cos2α=1、1+tan2α=sec2α、1+cot2α=csc2α;
平方關係:sin²α+cos²α=1。
![餘弦[三角函式的一種] 餘弦[三角函式的一種]](/img/1/909/nBnauM3X0cDO1ETM3kTOzkDN1UTM1QDN5MjM5ADMwAjMwUzL5kzL0YzLt92YucmbvRWdo5Cd0FmLyE2LvoDc0RHa.jpg)
餘弦[三角函式的一種]
餘弦[三角函式的一種]
餘弦[三角函式的一種]
餘弦[三角函式的一種]
餘弦[三角函式的一種]
餘弦[三角函式的一種]
餘弦[三角函式的一種]
餘弦[三角函式的一種]
餘弦[三角函式的一種]
餘弦[三角函式的一種]
餘弦[三角函式的一種]
餘弦[三角函式的一種]
餘弦[三角函式的一種] 