雨水量
正文
降雨時沿地面流行的雨水量,常稱雨水徑流量,為設計城市雨水管道和道路涵洞的基本數據。降落的雨水在流向排水管道的過程中,有的留在樹木花草與房屋等地物上,有的滲入土壤,有的留在地面的低洼處,只有一部分流進雨水管道或渠道。雨水的降落量用自記雨量計(見圖測錄。雨水徑流量可以用設在渠道或管道內的流量計測錄,也可以從雨水降落量推算。推算的方法有多種。雨水管道的匯水面積一般不大,故設計流量的確定常用估算小匯水面積徑流量的方法。一般採用推理公式:
雨水量式中Q為雨水管道設計流量(升/秒);с為徑流係數(雨水徑流量和降落量的比值);F為匯水面積(公頃);q為設計暴雨強度,以單位面積降雨流量計〔升/(秒·公頃)〕;i為設計暴雨強度,以降雨深度計(毫米/分)。排水管道常分段設計。雨水管道設計段的匯水面積 F可從雨水管道系統平面圖上求得。徑流係數 с根據地面狀況和經驗數據確定,屋面、路面、場地等鋪砌地面可採用0.8或0.9,綠地可採用0.1或0.15,一般按設計規範採用。由於影響徑流係數的因素很多而複雜,故其數值精度不高。
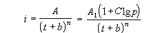
設計暴雨強度根據當地降雨記錄選用。限於經濟條件,不能採用歷史上曾出現的最大值。常先把自記雨量計記錄歸納為暴雨曲線或公式,然後根據設計條件確定設計段的暴雨強度。常用公式為

值得注意的是,徑流係數有一定的可控性。通過地面的高程規劃,空地的平整、綠化和容許綠地短暫積水,可使徑流係數降低。此外,還可利用地區的湖泊、水塘調蓄雨水量,以減少雨水徑流量。

