第一定義
雙曲線上各點到焦點的距離比上到準線的距離為離心率e
方程
雙曲線有兩條準線 L(左準線), L(右準線),準線與雙曲線的位置關係如右圖所示。
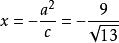
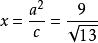
雙曲線準線以原點為中心的雙曲線 的準線的方程就是:x=±a²/c;
雙曲線準線其中 a是實半軸長, b是虛半軸長, c是半焦距。( )
雙曲線準線例如,存在以原點為中心的雙曲線 按照以上計算公式,則其準線方程為:
雙曲線準線
雙曲線準線L的方程: ; L的方程: 。
公式
雙曲線上任意一點P與雙曲線焦點的連線段,叫做雙曲線的焦半徑。
設雙曲線的焦點在x軸上。
設F1,F2為雙曲線的左右焦點,x為P的橫坐標,則
P在左支上時: PF1=-( a+ex) PF2=-( ex-a)。
P在右支上時: PF1=a+ex, PF2=ex- a.

