如何手動開平方
不用平方根表和計算器,可不可以求出一個數的平方根呢?先一起來研究一下,怎樣求 ,這裡1156是四位數,所以它的算術平方根的整數部分是兩位數,且易觀察出其中的十位數是3.於是問題的關鍵在於;怎樣求出它的個位數a?為此,我們從a所滿足的關係式來進行分析.
根據兩數和的平方公式,可以得到
1156=(30+a)^2=30^2+2×30a+a^2,
所以 1156-30^2=2×30a+a^2,
即 256=(30×2+a)a,
這就是說, a是這樣一個正整數,它與30×2的和,再乘以它本身,等於256.
為便於求得a,可用下面的豎式來進行計算:
根號上面的數3是平方根的十位數.將 256試除以30×2,得4( 如果未除盡則取整數位) .由於4與30×2的和64,與4的積等於256,4就是所求的個位數a.豎式中的餘數是0,表示開方正好開盡.於是得到 1156=34^2, 或√1156=34 .上述求平方根的方法,稱為筆算開平方法,用這個方法可以求出任何正數的算術平方根,它的計算步驟如下:
開方的計算步驟
1.將被開方數的整數部分從個位起向左每隔兩位劃為一段,用撇號分開(豎式中的11’56),分成幾段,表示所求平方根是幾位數;
2.根據左邊第一段里的數,求得平方根的最高位上的數(豎式中的3);
3.從第一段的數減去最高位上數的平方,在它們的差的右邊寫上第二段數組成第一個餘數(豎式中的256);
4.把求得的最高位數乘以2去試除第一個餘數,所得的最大整數作為試商(2×30除256,所得的最大整數是 4,即試商是4);
5.用商的最高位數的2倍加上這個試商再乘以試商.如果所得的積小於或等於餘數,試商就是平方根的第二位數;如果所得的積大於餘數,就把試商減小再試(豎式中(2×30+4)×4=256,說明試商4就是平方根的第二位數);
6.用同樣的方法,繼續求平方根的其他各位上的數.
如遇開不盡的情況,可根據所要求的精確度求出它的近似值.例如求 的近似值(精確到0.01),可列出上面右邊的豎式,並根據這個豎式得到
筆算開平方運算較繁,在實際中直接套用較少,但用這個方法可求出一個數的平方根的具有任意精確度的近似值.
我國古代數學在開方上的成就
我國古代數學的成就燦爛輝煌,早在公元前一世紀問世的我國經典數學著作《九章算術》里,就在世界數學史上第一次介紹了上述筆算開平方法.據史料記載,國外直到公元五世紀才有對於開平方法的介紹.這表明,古代對於開方的研究我國在世界上是遙遙領先的.
開立方公式
如何開立方
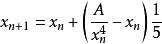
設A = X^3,求X.稱為開立方。 開立方有一個標準的公式:
開平方運算例如,A=5,,即求
5介於1的3次方;至2的3次方;之間(1的3次方=1,2的3次方=8)
初始值X0可以取1.1,1.2,1.3,1.4,1.5,1.6,1.7,1.8,1.9,都可以。例如我們取X0 = 1.9按照公式:
第一步:X1=1.9+(5/1.9^2;-1.9)1/3=1.7。
即5/1.9×1.9=1.3850416,1.3850416-1.9=-0.5149584,-0.5149584×1/3=-0.1716528,1.9+(-0.1716528)=1.7。即取2位數值,,即1.7。
第二步:X2=1.7+(5/1.7^2;-1.7)1/3=1.71。
即5/1.7×1.7=1.73010,1.73-1.7=0.03,0.03×1/3=0.01,1.7+0.01=1.71。取3位數,比前面多取一位數。
第三步:X3=1.71+(5/1.71^2;-1.71)1/3=1.709.
第四步:X4=1.709+(5/1.709^2;-1.709)1/3=1.7099
這種方法可以自動調節,第一步與第三步取值偏大,但是計算出來以後輸出值會自動轉小;第二步,第四步輸入值
偏小,輸出值自動轉大。即5=1.7099^3;
當然初始值X0也可以取1.1,1.2,1.3,。。。1.8,1.9中的任何一個,都是X1 = 1.7 > 。當然,我們在實際中初始值最好採用中間值,即1.5。 1.5+(5/1.5²-1.5)1/3=1.7。
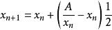
如果用這個 公式開平方,只需將3改成2,2改成1。即
開平方運算例如,A=5:
5介於2的平方至3的平方;之間。我們取初始值2.1,2.2,2.3,2.4,2.5,2.6,2.7,2.8,2.9都可以,我們最好取 中間值2.5。 第一步:2.5+(5/2.5-2.5)1/2=2.2;
即5/2.5=2,2-2.5=-0.5,-0.5×1/2=-0.25,2.5+(-0.25)=2.25,取2位數2.2。
第二步:2.2+(5/2.2-2.2)1/2=2.23;
即5/2.2=2.272,2.272-2.2=0.072,0.072×1/2=0.036,2.2+0.036=2.23。取3數。
第三步:2.23+(5/2.23-2.23)1/2=2.236。
即5/2.23=2.242,2.242-2.23=0.012,0.012×1/2=0.006,2.23+0.006=2.236.
每一步多取一位數。這個方法又叫反饋開方,即使你輸入一個錯誤的數值,也沒有關係,輸出值會自動調節,接近準確值。
開5次方公式
順便介紹開5次方公式:
開平方運算例如:A=5;
5介入1的5次方至2的5次方之間。2的5次方是32,5靠近1的5次方。初始值可以取1.1,1.2,1.3,1.4,1.5,1.6,1.7,1.8,1.9.例如我們取中間值1.4;
1.4+(5/1.4^4-1.4)1/5=1.38
1.38+(5/1.38^4-1.38)1/5=1.379.
1.379+(5/1.379^4-1.379)1/5=1.3797.
計算次數與精確度成為正比。即5≈1.3797^5.。

