簡介
長期趨勢是指在相當長的時期內,社會現象表現為持續不斷地向上增長或向下降低的趨勢。表現為向上發展趨勢的,如工農業產品的產量、商品流轉額等。表現為向下發展趨勢的如成本不斷降低等。還有若干數列在相當長的時期內並無明顯升降趨勢,可稱之謂水平趨勢。在一個長時間的動態致列中,往往存在著受不同因家影響的幾種變動,如受某種根本性原因所決定的長期變動趨勢和一年內季節因家影響的季節變動,以及其他變動。對動態數列進行統計分析的一項重要任務,就是要分別測定這些變動 。
目的
在統計分析中,研究長期趨勢的主要目的是:
①測定社會現象向上成長或向下降低的趨勢,確定其發展方向和發展速度。這對正確認識客觀事物發展的規律性,對於指導國民經濟發展和企業的生產、經營活動具有重要意義;
②測定長期趨勢.有助於進行經濟預測。
分析
客觀現象的統計數值在一個相當長時期內持續發展變化的趨勢。由對現象的發展變化起普遍作用和決定性作用的諸基本因素所決定。它可能呈現上升、持平、下降或升降交替的狀態。掌握事物發展的長期趨勢,對社會經濟管理,進行科學研究,是十分必要的。長期趨勢的描述,可以揭示現象發展變化的某種規律性,可以為經濟預測提供依據。
方法
長期趨勢是根據時間數列資料測定的。一般步驟是:先將資料繪製成散點圖,然後根據散點圖上的大致趨向,配合最適宜的直線或曲線以顯示長期趨勢。配合的具體方法,主要有隨手法、移動平均法、半數平均法、最小平方法等。
①隨手法。最簡單的方法。這種方法不需要計算,而是直接在散點圖上,根據主觀判斷隨手畫出表示長期趨勢的直線。為了防止和減少判斷差誤,應力求使直線上方各數據點至直線垂直距離的總和同直線下方各數據點至直線垂直距離總和大體相等。
②移動平均法。對時間數列的各期變數逐期移動,按一定期限,如每三年或每五年,依次計算其平均數,從而形成一個新的、派生的序時平均數時間數列。這個派生的數列,由於移動平均起修勻作用,原數列中包含的一些偶然因素引起的變動得以削弱,因之把數列各序時平均數標在圖上,聯接成線,即可顯現出現象在較長時期發展變化的基本趨勢。
③半數平均法。將時間數列平均分為兩部分,各求其平均數,然後在散點圖上標出這兩個平均數的點,聯接兩點成一直線即為長期趨勢線。這種方法是利用平均數的代表性來削弱一些偶然因素的影響。它比移動平均法簡單,但準確度不如後者。
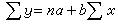
④最小平方法。測定長期趨勢最常用的方法。它是以數學方程式來描述長期趨勢,即用最小平均方法配合一條原數列與趨勢線的離差平方和為最小的直線或曲線。配合直線時,用最小平方法的標準聯立方程求解直線方程 y= a+ b x的參數 a和 b。標準聯立方程如下:
長期趨勢
長期趨勢式中 n代表時間數列項數, x代表時間, y代表變數的趨勢值。
配合曲線時,以二次曲線為例,其一般方程為:
y= a+ b x+ c x2式中有三個待定的參數: a、 b、 c按最小平方法建立如下聯立方程以求解待定的參數:
長期趨勢
長期趨勢
