簡介
重合指數字母,同樣來求從中抽到兩個相同字母的機率是多少?
為此,設NA為字母A在這份密文中的頻數,設NB為字母B在
這份密文中的頻數,依此類推.
舉例
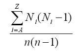
• 從n個密文字母中抽取兩個字母的方式有Cn
2=n(n-1)/2,
而其中NA個A組成一對A的方式有CNA
2= NA(NA -1)/2,於
是從y中抽到兩個字母都為A的機率為【NA(NA -1)】/【n(n-
1)】,…因此,從y中抽到兩個相同字母的機率為
• 這個數據稱為這份密文的重合指數。記為IC

重合指數為數學計算用的函式的一種,用於計算密文中相同字母的機率。
重合指數• 從n個密文字母中抽取兩個字母的方式有Cn
2=n(n-1)/2,
而其中NA個A組成一對A的方式有CNA
2= NA(NA -1)/2,於
是從y中抽到兩個字母都為A的機率為【NA(NA -1)】/【n(n-
1)】,…因此,從y中抽到兩個相同字母的機率為
• 這個數據稱為這份密文的重合指數。記為IC
交易型開放式指數基金,通常又被稱為交易所交易基金(Exchange Traded Funds,簡稱“ETF”),是一種在交易所上市交易的、基金份額可變的...
優點介紹 發展情況 購買方式 套利機制 市場影響一、基本介紹計算方法採用權重加權方式,樣本選用中債綜合指數、滬深300指數、貨幣市場按照不同的年金基金資產配置比例。中國年金指數以制定合理...、安全、穩步發展。中國年金指數專家委員會擁有國內外各領域著名專家學者加盟...
一、基本介紹 二、設立目標 三、年金指數報告部分參與編制機構 四、採用的編制方法六方晶系採用4個指數,即(hkil)來表示晶向和晶面更為方便。
品級指數是由中國人民大學輿論研究所品牌形象實驗室開發的國內最具權威的品牌診斷和發展建議的測評工具,享有“超級品牌專家”的榮譽。
一、什麼是品級指數 二、品級指數的測評方法 三、品級指數的成果體現過程能力指數是指過程能力滿足產品質量標準要求(規格範圍等)的程度。也稱工序能力指數,是指工序在一定時間裡,處於控制狀態(穩定狀態)下的實際加工能力。它是...
簡介 算法 指標 用途 套用回彈曲線是土的固結試驗壓力加到某值後逐級卸壓、土體 發生回彈的過程中孔隙比e與壓力p的關係曲線。回彈指數是指在壓縮試驗中,土樣受壓後卸荷回彈時,近似為直...
簡介 彈塑性增量理論 固結試驗過程能力指數是指過程能力滿足產品質量標準要求(規格範圍等)的程度。也稱工序能力指數,是指工序在一定時間裡,處於控制狀態(穩定狀態)下的實際加工能力。它是...
簡介 算法 指標 用途 套用工序能力指數亦稱“工程能力指數”。按圖紙要求的公差範圍與工序能力的比值。它表明工序能力對工序質量要求的保證程度,用以判明工序的實際加工精度能夠滿足公差要...
指數概述 指數意義100純價值 200純價值 300純價值
具體內容 編制方法