概念
重力基線是重力檢定場的組成部分,其校準重力儀的標準裝置,主要包括重力長基線、重力短基線和動態檢定場。相對重力儀一般作為校準重力短基線和動態檢定場的傳遞標準,也可用於重力長基線的檢核設備,其技術性能必須滿足重力檢定場和測量標準的要求。
CG-5相對重力儀校準重力基線的可行性
研究背景
檢定重力儀的標準場地主要有重力長基線、重力短基線和動態檢定場。以這些場地的點間相對重力段差值作為標準值,檢定被檢相對重力儀,也可以作為絕對重力儀的檢核標準。這些作為標準值的重力段差值一般使用高精度的相對重力儀進行校準,也可以使用絕對重力儀測量每個點的絕對重力值,用點間的絕對重力值作差計算各點間的相對重力段差值。由於絕對重力測量要求作業環境條件嚴格,一般場地條件難以滿足絕對重力測量要求,通常重力長基線採用絕對重力儀標定,用相對重力儀進行檢核;重力短基線和動態檢定場採用相對重力儀直接進行點間重力段差標定。
CG-5相對重力儀是新型數字重力測量儀器,採用微處理器進行讀數、改正、顯示及輸出,具有測量點位自動定位功能,量程為8000×10 m/s ,讀數分辨力為1×10 m/s ,擴展不確定度為15×10 m/s ,工作溫度範圍為-45~+45℃,重量輕,體積小,特別適合作為校準重力基線的測量標準使用。
CG-5的技術性能
根據文獻 ,作為測量標準的相對重力儀的重複性、穩定性和測量不確定度必須符合要求。一般要求,穩定性需小於等於合成標準不確定度或最大允許誤差;測量不確定度需小於等於三分之一的下級測量標準或檢測設備的不確定度。研究從檢定合格的CG-5相對重力儀中隨機選出6台儀器,分析其技術性能。
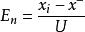
為了提高校準重力基線的準確度,要求所使用的6台CG-5相對重力儀同時測量同一重力基線段差值結果具有一致性。多台測量標準的一致性採用計算“歸一化偏差En”的方法,判斷多台測量結果的一致性。歸一化偏差En的計算公式為
重力基線
重力基線式中:x為第i台標準儀器的測量值; 為多台標準儀器測量值的平均值;U為測量標準的擴展不確定度,數值為15×10 m/s 。
比對結果一致性的評判原則:En≤1,證明該台儀器的測量結果與平均值之差在合理的預期之內,可採用;En>1,證明該台儀器的測量結果與平均值之差沒有達到合理的預期,不可採用。
表1列出了各台CG-5相對重力儀的歸一化偏差En值。由表得1出,各台儀器的歸一化偏差En小於1,證明這6台CG-5相對重力儀的一致性好,可聯合作為重力基線段差的測量標準。
研究結論
表1 各台CG-5相對重力儀的歸一化偏差En重力基線場作為檢定和校準重力儀的標準裝置必須定期進行校準,一般校準周期應不大於2年。國內建立了多條重力基線場,重力基線採用絕對重力儀比對,然後測量部分點位的絕對重力值進行校準,由於絕對重力測量要求很高,一般的場地不能滿足測量要求,測量成本很高,使得重力基線多年來沒有經過系統校準。由6台CG-5相對重力儀組成的測量標準的擴展不確定度為6.2×10 m/s ,小於重力基線段差不確定度20×10 m/s 的三分之一、多台儀器測量結果歸一化偏差En均小於1,多台儀器的一致性好,因此,6台及以上的CG-5相對重力儀可作為校準重力基線段差的測量標準。CG-5相對重力儀可適應野外測量要求,校準成本低,可定期校準重力基線。研究的突破在於嘗試了單台CG-5儀器達不到校準要求時,採用歸一化偏差優選測量結果一致的多台儀器聯合組成測量標準,採取多台平均值法提高校準精度,解決單台儀器技術指標與被檢測設備的技術指標相當而無法滿足測試不確定度比的問題。
陸態網路靈山重力基線場初值測定與數據分析
中國大陸構造環境監測網路項目(簡稱陸態網路)是我國一項重大科學工程基礎設施建設項目。靈山重力基線場(簡稱靈山基線)初值測定項目是陸態網路子項目之一,主要目的是建立一個為相對重力儀一次項比例因子標定、校準的重力基準。2014年6月,國家測繪地理信息局第一大地測量隊對靈山基線初始值進行了測定。
靈山基線初始值測定概況
(1)點位布設及施測內容
表2 靈山基線重力點信息靈山基線共設計重力基本點26個,重力基準點4個;整個基線位於北京市門頭溝區靈山自然風景區內,各點位沿風景區主幹道兩側分布。其中,最大重力段差約為250000×10 ms ,最小重力段差約為2×10 ms 。施測主要內容為對重力基準點實施絕對重力測量,同時進行重力垂直梯度測量,並在所有點位之間進行相對重力聯測。各點位情況如表2所示。
(2)施測要求
表3 重力基準點野外概算結果基本點之間聯測採用6台高精度相對重力儀實施。往返對稱觀測,每台儀器合格成果數不少於6個。每台儀器在一段的段差結果互差小於40.0×10 ms 。絕對重力測量採用FG5型儀器實施。每次下落時間間隔為10s;每組下落次數為100次(合格下落次數不少於75次),每組時間間隔為1h;合格組數不少於24組。結果精度優於5.0×10 ms 。重力垂直梯度採用2台高精度相對重力儀實施。採取往返對稱的聯測方式,在地面與約1.30m高處之間施測。每台儀器合格成果數不少於5個,總合格成果數不少於10個。結果精度優於3.0×10 ms 。
野外概算
表4 相對重力聯測野外概算結果通過野外概算得到4個基準點結果和29段重力段差(LS11點位破壞,故沒有聯測)。野外概算採用FG5絕對重力儀隨機軟體g9。對4個基準點絕對重力觀測數據進行了固體潮改正、氣壓改正、儀器高改正、極移改正和垂直梯度改正。相對重力聯測、重力垂直梯度測量數據處理時均進行了重力儀讀數轉換、格值改正、固體潮改正、氣壓改正、儀器高改正和零漂改正。採用Gravitation Measure軟體進行野外數據概算。
野外概算結果分析
表5 各點最終結果1)由表3可知,基準點絕對重力測量成果野外概算成果精度都優於5.0×10 ms ;其中JX1成果精度誤差最大,JX3成果精度誤差最小。平差後,精度基本一致,主要因為基準點在平差時權重大於基本點,且基準點相對穩定性較好,野外干擾不大。
圖1 各儀器結果之間最大互差分布2)由表4可知,各點間相對重力聯測結果野外各儀器結果之間最大互差都小於40×10 ms ;由圖1可以看出,野外相對重力聯測各段結果各儀器之間互差在10×10 ms ~30×10 ms 之間個數逐漸增加;在30×10 ms ~40×10 ms 之間個數逐漸減少;在0~10×10 ms 和大於40×10 ms 沒有分布,說明野外聯測結果分布符合設計要求,儀器穩定、狀態良好、成果穩定。由表4、圖1可知,相鄰兩點間段差主要在1000×10 ms ~10000×10 ms ,其次分布在10000×10 ms ~100000×10 ms ;小段差(小於100×10 ms )、大段差(247243×10 ms 左右)都有分布。這種段差分布對於高精度相對重力儀不同讀數區間都能較好覆蓋,減少了一次項比例因子外推產生的誤差;段差在1000×10 ms ~100000×10 ms 之間比較集中,也符合實際工程中段差的分布,能最大程度地消除工程實施中儀器一次項比例因子的影響。故該基線及成果滿足高精度相對重力儀的檢驗、一次項比例因子標定需要。
圖2 相鄰兩點間重力段差分布3)由表5、圖2可知,各點最終結果精度都優於5×10 ms ;集中分布在3×10 ms ~5×10 ms 之間,精度較高,主要因為基準點數量較多、施測成果精度較高、空間幾何分布(聯測路線)比較合理,同時相對重力聯測成果精度較好也有一定的作用。

