系統組成
測角系統
通過測定無線波來向以確定運動載體與一條基準線(常用磁北基準線)的夾角的系統。無線電測角系統一般都使用定向天線。根據使用場合不同,地面可用測向天線對飛機或船舶發射的信號測向,更多的情況是飛機和船舶利用測向天線對地面信號測向。簡單的地面信標發射無方向信號,專用的地面信標本身發射含有方向信息的信號。
測角系統主要是測量振幅或相位參量。振幅測角系統可使用最大值測角法、最小值測角法和等強信號測角法三種方法。
①最大值測角法:天線輻射單波瓣方向性圖。轉動方向性圖使接收設備輸出的信號具有幅度變化,以最大輸出信號強度作為角度位置。機場監視雷達對目標方位的測定就採用這種方法。此法的信噪比較高,並可兼用於通信信息的傳輸,但測角靈敏度較低,即對最大值的判別不敏銳。
②最小值測角法:鏇轉用戶接收設備的環狀天線至收到信號為最微弱處,或發射端輻射兩個彼此相切的波瓣,轉動波瓣使接收設備輸出最小。無線電羅盤使用前一種方法,靈敏度高,信噪比低。
③等強信號測角法:天線輻射兩個互相交疊的波瓣,轉動方向性圖;或方向性圖固定不動,由載體運動使接收機輸出的兩波瓣信號強度相等來確定目標的角位置。此法兼有前兩種方法的優點。
相位測角系統利用測量信號的相位獲得載體的角位置。這類設備的方向性圖的鏇轉速度比振幅系統快得多,一般可達每秒幾十轉。鏇轉頻率成為載頻的振幅調製頻率,調製信號的相位決定於運動載體所在的空間方位。藉助某一同頻率的相干振盪進行比相,從相位讀數取得載體所在的空間位置。伏爾導航系統(甚高頻全向信標系統)即屬於這類相位測角系統。
圖0採用干涉儀原理也可進行相位測角。這種系統採用兩個相距D的地面天線陣元組成。用戶詢問信號的平面波前到達天線陣元時,由於入射角θ不同,到達兩個陣元的時間也不同(存在行程差x=Dsinθ)。此行程差在兩陣元接收到的射頻信號中產生的相位差為圖0
式中λ為工作波長;θ為入射波與天線陣元連線的法線之間夾角。測出相位差 墹嫓即可確定用戶相對天線基線法線的角位置θ,並由地面發回機上。
測距系統
利用測量用戶至地面台間距離實現導航定位的系統。測距系統有轉發、反射和測偽距三種方式。
轉發方式
圖1由用戶發射詢問信號,地面台收到詢問信號後發出應答信號。用戶計算詢問信號與應答信號之間電磁波傳播時間的時延,即得圖1
。式中rAB為用戶至地面台之間的距離;c為電磁波傳播速度。轉發方式有脈衝方式與連續波相位方式兩種工作方式。採用脈衝方式時,詢問信號和應答信號均以脈衝形式出現,測量的是脈衝之間的時間間隔。地美依導航系統就是這種測距系統。在連續波相位測距系統中,用戶和地面台鬚髮射相干連續波振盪信號。地面台對用戶信號進行頻率變換(倍頻和分頻)後向用戶轉發;用戶再將其轉換為原發射頻率,與原信號比相:圖2
。式中嫓AB為相位差;rAB為傳播距離;λ為波長。在脈衝測距系統中,不同詢問器的詢問脈衝多次同時出現的可能性很小,所以一個地面應答器可應答多個詢問。相位測距系統採用連續波工作方式,工作容量遠比脈衝系統為小。
反射方式
圖3利用反射面(通常為地面)反射回來的信號和原發信號進行時延比較,確定用戶至反射面間的距離。常用的反射式測距系統有脈衝式和頻率式兩種。反射式測距可省去地面台,脈衝式無線電高度表和各種領航雷達都屬於這一類。頻率測距系統是用戶輻射調頻信號的系統。經反射面反射而返回接收設備的反射信號,其頻率與輻射頻率相差一個與其間距離成比例的數值f,即圖3
式中墹f為最大頻偏;fm為調製頻率;c為電波傳播速度。調頻雷達與機載調頻無線電高度表即屬於這類系統。反射式測距系統的作用距離比轉髮式測距系統為小。
測偽距方式
圖4用戶與導航台站都配備精密時鐘,並按嚴格確定的時間輻射信號。用戶收到信號後,根據自己的時鐘確定傳播時延τ,從而得到偽距ρ=cτ。偽距ρ中含有用戶與導航台站間的真實距離r,以及與兩精密時鐘之間的時差墹τ相應的距離誤差c墹τ,即圖4
式中x0、y0、z0為導航台站的位置坐標;c為電波傳播速度;x、y、z為待求的用戶位置坐標。利用4個或 4個以上時鐘相互同步的台站,測出4個或4個以上的偽距,建立與上述方程相同的4個或4個以上方程。解方程即得用戶的位置坐標。
測距設備的位置面是以導航台站為圓心的圓球面。在預知高度的條件下,可將等高度面與位置圓球面交割出的圓周作為測距位置線。這樣,利用一個導航台可引導飛機沿航空港作等待飛行。利用兩個導航台,用兩個圓周位置線的交點可確定用戶空間位置,但有雙值性。用三個導航台可以消除雙值性。
測距差系統 測量用戶到兩個地面台距離之差的導航系統,即雙曲線系統。測一條雙曲線位置線需要使用兩個地面台。定位用兩條位置線的交叉點,需要用三個以上地面台完成。多個地面台可組成台鏈。測距差系統分脈衝式和相位式兩類。
脈衝式系統
兩個地面台分別輻射在時間上嚴格同步的脈衝信號,用戶接收並測出其到達的時間差τA-τB,時間差乘c(電磁波傳播速度)得距離差rA-rB。等距離差軌跡線是雙曲線。用同一方式測出用戶到另兩個地面台的距離差rC-rD,得另一條相應的雙曲線,兩者的相交點就是用戶的位置坐標。脈衝式測距系統有獨立基線和同步基線兩種。兩台之間的聯線為基線。獨立基線系統各使用不同的載頻和脈衝重複頻率。用戶選取兩條獨立基線定位一般約需要1分鐘時間。羅蘭A導航系統為獨立基線脈衝測距差系統。同步基線系統是兩條基線的地面台工作於相同載頻和相同脈衝重複頻率上的系統,其中一台為共用主台。這種系統定位的時間較快,奇(GEE)導航系統就是同步基線脈衝測距差系統。
相位式系統
台鏈使用連續波,台卡導航系統主、副台在共有基頻上分別發射不同倍頻信號,用戶收到信號後變換成相同頻率,再經過比相得到相位差墹嫓=嫓A-嫓B。式中λ為比相波長;rA-rB為距離差。奧米加導航系統是 8個台在同頻上以時分方式發射的全球定位系統。相位測距差系統存在多值性,為一個巷道,通常採用變頻或增發載頻方法(差拍)展寬巷道消除多值性,實際上巷道多值性是不能完全消除的。雙曲線的漸近線是直線,當基線甚短、用戶離基線甚遠時,測距差系統也可作為測角系統使用,例如羅拉克導航系統(LORAC)就是按這種方式工作的。
測速系統
測量用戶航速、經過積分運算取得位置坐標的導航系統。這種系統以都卜勒效應為基礎,按雷達方式工作,用於飛行器上。船用都卜勒系統只能工作於聲頻,不屬於無線電系統。
運動載體輻射的電磁波頻率與經過地面反射回到載體的頻率不同,由於地形不平,反射回來的是類高斯頻譜,其中心頻率與輻射頻率之差即都卜勒頻率fd式中θ為波束與用戶速度矢量之間的夾角。在θ已知的情況下,測出fd就可求得用戶運動速度ω 。利用都卜勒設備求取地理位置坐標,還需要有航向基準、當地垂線信息,以及計算裝置和初始地理位置數據等。都卜勒系統屬於航位推算系統,所提供的位置信息有積累誤差。
多參量系統
利用電磁輻射中幾個參量和幾何參量的關係進行導航定位的系統。羅蘭 C系統屬於這類系統,其優點是既利用脈衝測距差方式取得粗測數據,消除多值性,又利用連續波測相位差取得精測數據。羅蘭 D導航系統和脈衝-8是其派生系統。塔康導航系統是另一種多參量導航系統,它把測向與測距兩種導航功能組合起來。它本身是詢問應答式測距系統,又在輻射的脈衝信號上進行調幅,產生調製包絡,用包絡相位測定用戶相對於地面台的方位。塔康導航系統用直線位置線與圓位置線求交點進行定位,是一種ρ-θ導航系統。
衛星導航系統
天文導航只能利用光頻測角,人造衛星由於可以裝備有無線電發信機和接收機,也能測距和測距離變化率。衛星導航有三種方式。
①測角方式:用戶跟蹤衛星輻射信號,藉助於轉動方向性圖測定衛星相對於當地地平面的仰角,從而得到用戶處於其上的一個等高圓圓周。對兩顆或更多顆衛星進行同樣觀察,或者對一顆衛星在不同時間進行觀察,可得到兩個或更多個彼此相交的等高圓。等高圓公共交點的坐標就是用戶位置坐標。
衛星至用戶的距離通常很遠,利用此法定位達到足夠的準確度要求測角誤差很小。例如,要保證定位誤差不超過3~4海里時,測角誤差應小於0.001弧度。
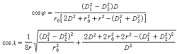
圖5②測距和測距差方式:在用戶視界記憶體在兩顆衛星的情況下,根據用戶與衛星的相對幾何位置可寫出關係式圖5
式中2r0為兩顆衛星之間的距離(基線);r為用戶到地心的距離;D為衛星基線中點到地心的距離。在既定衛星導航系統中,上述各參量均為已知固定值。D1和D2分別為兩顆衛星與用戶之間的距離。λ和嫓為用戶當前的地理經度和緯度。因此,用無線電方法測出D1、D2(測距),D1-D2(測距差)和D1+D2(測距和)中的任意二者,就可用上述公式解算出用戶的當前地理位置坐標。
用轉發方式測距,用戶需要用兩套收發信機分別對衛星1和衛星2輻射詢問信號和接收回答信號。測距系統位置線為圓,兩圓交點決定用戶平面位置坐標。測量距離D1或D2和距離差D1-D2時,用戶只需要一套收、發信機。對一顆衛星輻射信號和接收回答信號,即可得到距離。同時接收兩顆衛星輻射信號,可得到距離差。由圓位置線和雙曲線位置線的交點確定用戶地理位置坐標。
測量距離D1或D2及距離和D1+D2時,用戶也只需要一套收、發信機。對一顆衛星傳送詢問信號和接收回答信號便可以測距。由衛星1轉發詢問信號給衛星2,用戶從衛星2接收回答信號,可測出由用戶-衛星1-衛星 2三角形的三邊距離之和,減去兩衛星間固定的距離值 2r0,可得到距離和D1+D2。其位置線分別為圓和橢圓,用戶位於圓和橢圓的交點處。
③測偽距方式:用戶只需要一套接收計算設備,依次或同時接收4顆衛星的信號,測出4個信號的到達時間,再利用經典法聯解或卡爾曼疊代算法求出用戶的經度、緯度、高度和時鐘偏差等變數,藉以實現導航定位功能。
圖6④測距離變化率方式:衛星在運行過程中與用戶之間存在相對運動,在接收信號中存在都卜勒頻移。都卜勒頻移fd在既定時段(t2-t1)內積分,和衛星在該時段的開始和終了時的位置到用戶的距離差D2-D1之間,存在一定的關係,
圖6 式中fg、ft分別為用戶接收機基準頻率和衛星輻射頻率;c為電磁波傳播速度。測出既定時段內都卜勒頻移計數N,就可知道用戶與衛星在此時段的起始和終了時與用戶位置的距離差D2-D1。在確知衛星位置的情況下,適當假定用戶位置,可用疊代法求出用戶當前地理位置數據。
“子午儀”衛星導航系統測量的是距離變化率,但因不能連續定位而不適用於航空。測偽距的衛星導航系統受到人們重視,定位準確度極高。
