基線
三角測量中,推算三角網(鎖)起始邊長所依據的基本長度稱為基線。在受條件限制直接丈量三角網的起始邊有困難時,丈量一較短的基線,再通過基線網(一般為菱形,基線為其短對角線)依據觀測得的水平角值和基線長度以及邊角關係推算三角網起始邊 (基線網擴大邊) 的長度 。
基線尺
基線尺是精密丈量基線長度的工具。基線測量通常採用因瓦基線尺,由膨脹係數小於0.5×10 /℃的鎳鐵合金製成,一般為線狀尺,長24m,直徑1.65mm。每套線狀尺通常備有四根主尺和一根8m或4m的補尺。補尺用於丈量不足一整尺的尺段。
每根線尺的兩端有三棱分劃尺,其中一個棱與線尺的中心軸一致。分劃尺的刻度範圍一般為8cm,最小分劃線間距為1mm,每1cm有一註記。前後兩分劃尺的分劃註記方向相同,兩分劃尺上同名分劃之間的距離即為基線尺長度。全套基線尺備有重錘、拉力架、軸桿架(亦稱標誌架)等附屬檔案。
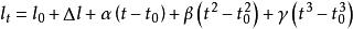
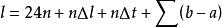
基線測量基線尺經出廠檢定,帶有尺長方程式。丈量基線長度的作業期前後必須對基線尺長進行檢定。通過檢定,確定基線尺的尺長改正數和膨脹係數。基線尺的膨脹係數(又稱溫度係數)是在具有專門設備的檢定室用電加熱法測定,至少每三年測定一次。基線尺尺長檢定由專門的計量單位在室內進行,也可在野外基線場上進行。基線場的長度一般為600m。每根基線尺在作業開始前和結束後半個月內檢定一次,取兩次檢定的平均值作為基線尺的長度。基線尺的尺長方程式為:,式中 l為基線尺在溫度t時的實際弦長;l為該尺的名義長度(24m);Δl 為溫度t時的整尺段的尺長改正數;t為基線尺檢定時的標準溫度,一般採用 t=20℃;α、β 和 γ 分別為基線尺的溫度一次、二次和三次膨脹係數。由於 γ 值很小,一般可略去不計 。
內容方法
基線測量用因瓦基線尺丈量整置於基線兩端點連線方向上各測段的距離,從而獲得基線的長度。基線測量的主要內容有:(1)定線並設立軸桿架。將軸桿架按基線尺長度配置在基線方向上,以作為基線尺丈量的標誌;(2)軸桿頭水準測量;(3)基線尺配置和長度測量 。
內容
(1)在進行基線測量之前,要清理、平整基線場地(測道),然後從基線的一個端點起沿基線方向每隔200~300m設一定線站。當基線較長時,可分測段丈量,其測段長一般為0.5~1km,各測段點應埋設穩固的段點木樁或標石。
(2)在定線站上,用經緯儀和光學投影器將軸桿架頭按基線尺長度準確地安置在基線方向上,作為基線尺丈量的尺段標記,這項工作稱為定線。
(3)測定相鄰軸桿頭間的高差,用以將量得的傾斜距離歸算為水平距離。這項工作稱為軸桿頭水準測量。在整好8~10個軸桿架之後,即可進行軸桿頭水準測量。通常是在基線丈量前進行往測,丈量後進行返測。為了將沿軸桿頭量得的長度歸算到大地水準面或其他投影面上,需算得軸桿架頭的平均高程。
基線某尺段丈量示意圖
基線測量(4)從基線端點開始逐一測定相鄰兩軸桿頭間(尺段)的長度。圖中所示為丈量第i個尺段,後軸桿頭的編號為 Z,前軸桿頭的編號為 Z,基線尺一端分劃尺的零分劃放在 O 處,後端讀數為 a ,前端讀數為 b ,尺段的溫度為t,則Z與 Z之間第 i 個尺段的斜距為:。式中 l為基線尺在溫度 t 時的實際弦長,可根據尺長方程式求得。不足一整尺段的剩餘短跨距,用補尺丈量。在丈量基線過程中,每隔10~15min讀記溫度一次,並且在兩次讀定溫度的相隔時間內,丈量不多於5個尺段。
丈量基線所採用基線尺的數目及進行往返丈量的測回數,根據對基線的精度要求來決定。丈量各測段時基線尺的組合,應使本段作為往測的基線尺在下一段作為返測 。
基線長度計算
在進行計算之前,應對外業資料進行全面檢查,然後進行成果整理和基線長度計算。基線長度由整尺的和剩餘短跨距的丈量結果分別計算後相加求得。
基線概長計算
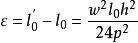
基線測量依每根基線尺整尺丈量結果進行。基線概長計算公式為:,式中 n 為整尺段數(不含短跨距數);nΔl 為尺長改正數;nΔt 為溫度改正數;Σ(b-a) 為各尺段前後端分劃尺讀數差的總和。各尺單程基線長度的互差值符合規範要求,則各尺單程長度的平均值即為基線的概長 。
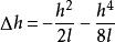
傾斜改正計算
基線測量根據每一尺段的高差 h ,按下式計算各尺段的傾斜改正 Δh :,式中 l 為尺段長度。
剩餘短跨距長度計算
由於基線概長未包括短跨距長度,因此對於每一短跨距要單獨計算尺長改正、溫度改正和傾斜改正,改正後的長度為短跨距的實地長度 。
三項改正計算
基線長度還需加入懸鏈線不對稱、分劃線傾斜和重力變化等三項改正。這三項改正的數值都是很微小的。
基線測量
基線測量(1)懸鏈線不對稱改正。由於線尺的兩端不等高,引起懸鏈線不對稱,使得同一線尺在傾斜時懸鏈線弦長 l′ 不等於水平時懸鏈線弦長 l,其差值稱為懸鏈線不對稱改正。其計算公式為:,式中 w 為每米基線尺重量(約為0.0173kg);l 為基線尺檢定時的弦長;p 為給線尺的拉力;h 為尺段兩端高差。對於24m線尺,用基線尺檢定時的拉力,h 取 m 為單位,基線全長的懸鏈線不對稱改正數為:。
基線測量(2)分劃線傾斜改正。由於分劃尺傾斜,分劃尺傾角為 ψ ,一個尺段的前後端分劃尺讀數差應為 (b-a) cosψ。故基線全長分劃尺傾斜改正為:,式中 (b-a) 為基線尺前後端分劃尺讀數差。
基線測量(3)重力變化改正。基線尺檢定和基線丈量一般均採用同一組重錘。由於兩地緯度不同,重力加速度也不同。同一重錘在不同緯度具有不同的重量,將引起線尺長度的微小變化。基線全長重力變化改正為:,式中 g、g分別為基線檢定場和基線場所在地的重力加速度 。
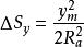
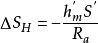
基線最終長度計算
基線的實地長度是基線平均高程面上的水平長度。可根據需要將其歸算至參考橢球面(或大地水準面、礦區平均高程面)和高斯投影面上。
基線測量
基線測量(1)將基線實地長度歸算至參考橢球面上的改正為:,式中S'為基線的實地長度,H為基線的平均高程;h為基線所在地大地水準面相對參考橢球面的高差;R為基線平均緯度處基線方向法截面的曲率半徑。如果 h為零,式中的 ΔS 就成為將基線歸算到參考橢球面上的改正數。將基線歸算至礦區平均高程面上的改正為:,式中 H′ 為基線的平均高程與礦區平均高程面的高差。
基線測量(2)將基線歸算至高斯投影平面上的改正為:,式中 y為基線兩端點橫坐標(y坐標)的平均值 。
精度要求
各個測量結果與其中數之差所計算的基線測量相對中誤差是:一、二等基線不得超過1∶100萬,一、二等三角鎖網起始邊不得超過1∶70萬。基線測量用的因瓦基線尺,應在每年出測前和外業完成測量工作後,都要與設定的檢定基線進行比較,檢核尺長變化精度。中國北京、西安設有檢定基線,每年用兩組14支基線尺測量,精度優於1∶200萬。由於基線測量受地形和工作條件限制,20世紀60年代以來已為高精度的電磁波測距儀的測量所代替 。

