正式定義
里奇曲率張量
里奇曲率張量
里奇曲率張量
里奇曲率張量
里奇曲率張量
里奇曲率張量
里奇曲率張量設 是一個 n-維黎曼流形。 記 為 M在 p點的切空間, 任給切空間 中的一對向量 ,Ricci 張量 在 點的值定義為線性映射 的跡(trace),也就是說:
里奇曲率張量
里奇曲率張量右手邊 R是所謂黎曼曲率張量,而 是切空間之間的線性映射,所以可以計算這映射的跡。在局部坐標系下有
里奇曲率張量使用愛因斯坦求和約定的話,上式會寫成:
里奇曲率張量
里奇曲率張量其中,
注意,之後的方程如果使用愛因斯坦求和約定,不會特別註明。
里奇曲率張量
里奇曲率張量
里奇曲率張量已經知道里奇張量 ,現在就可以用里奇張量來定義里奇曲率。如果 為 點的單位向量,則
里奇曲率張量
里奇曲率張量
里奇曲率張量
里奇曲率張量
里奇曲率張量
里奇曲率張量定義為在點 ,方向的里奇曲率,有時會把 寫成 。也有些人會定義里奇曲率為 這裡 。
直接的幾何意義
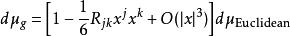
對於黎曼流形(M,g)里任意一點p的旁邊可以定義被稱為測地法座標系的局部座標系。這些通過p的測地線不但都對應著通過原點的直線,而且同時構成了從p的距離和從原點的歐幾里得距離的對應。這個座標系的度量張量是
里奇曲率張量。
好處就是,此座標是歐幾里得度量的良好近似。實際上,由於在法座標系的放射測地線產生的雅可比場適用的度量的泰勒展開,
里奇曲率張量可以得到 。
然後,在這個座標系,在p可以得到以下體積元素的展開。
里奇曲率張量
里奇曲率張量
里奇曲率張量
里奇曲率張量
里奇曲率張量然後,如果里奇曲率 在向量 的方向是正的,由於在M上從p向 方向的短的測地線收束族掃過的圓錐區域的體積比在歐幾里得空間對應的圓錐區域要小。如此類推,如果里奇曲率在給定的向量 的方向是負的,流形同樣的圓錐區域的體積比歐幾里得空間對應的圓錐區域要大。
里奇曲率張量里奇曲率本質上就是包含 的平面的曲率平均。也就是說最初是圓形(或者是球形)放射狀的圓錐會扭曲未橢圓形狀,沿著主軸的彎曲是相互相反的作用,而且有把體積變為零的可能性。然后里奇曲率沿著{\displaystyle \xi }會變為零。在物理的套用,一定要變零的切斷曲率的存在並不一定是局部性一定有什麼質量。世界線圓錐最初的圓形的橫切面是,要是變成了後來體積沒變化的橢圓,這個效果就是來自其他位置的質量的潮汐效果。
無跡的里奇張量
在黎曼幾何與廣義相對論中,一個偽黎曼流形(pseudo-Riemannian manifold){\displaystyle (M,g)}之 無跡的里奇張量(trace-free Ricci tensor)是一個定義如下的張量
里奇曲率張量相關條目
•數量曲率
•里奇流
•克里斯托費爾符號
