定義
克勒一愛因斯坦度量
克勒一愛因斯坦度量
克勒一愛因斯坦度量
克勒一愛因斯坦度量
克勒一愛因斯坦度量
克勒一愛因斯坦度量
克勒一愛因斯坦度量
克勒一愛因斯坦度量克勒-愛因斯坦度量( )是一類特殊的克勒度量,設 是克勒流形, 為里奇曲率張量,若 滿足 ,則稱 為 上的 克勒-愛因斯坦度量,這時, 稱為克勒-愛因斯坦流形 。
卡拉比猜想
克勒一愛因斯坦度量
克勒一愛因斯坦度量
克勒一愛因斯坦度量
克勒一愛因斯坦度量
克勒一愛因斯坦度量
克勒一愛因斯坦度量
克勒一愛因斯坦度量
克勒一愛因斯坦度量卡拉比猜想(Calabi conjecture)是關於克勒度量的一個著名猜想,卡拉比(E.Calabi)於1954年在一篇關於“克勒度量的空間”的文章中提出如下猜測:設M是緊緻克勒流形,為克勒形式,為里奇形式,若給定的實閉形式的上同調類與的上同調類一致,則在上存在一種且只存在一種具有下列性質的克勒度量:
克勒一愛因斯坦度量
克勒一愛因斯坦度量
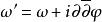
克勒一愛因斯坦度量1.其克勒形式和決定相同的上同調類,即;
克勒一愛因斯坦度量2.其里奇形式與給定的一致。
克勒一愛因斯坦度量
克勒一愛因斯坦度量
克勒一愛因斯坦度量
克勒一愛因斯坦度量
克勒一愛因斯坦度量
克勒一愛因斯坦度量
克勒一愛因斯坦度量
克勒一愛因斯坦度量
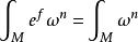
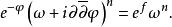
克勒一愛因斯坦度量卡拉比已證明了惟一性,里奇形式ρ的重要性在於M的第一陳類與一致,卡拉比特別關心的情況,在命題“若,則存在里奇形式為0的克勒度量”的假設下,他證明了上述猜測的特殊情況,所要求的用適當的實數φ可以寫成,於是問題可歸結為求下列φ的微分方程:,其中是由和
克勒一愛因斯坦度量
克勒一愛因斯坦度量
克勒一愛因斯坦度量而定的實函式,與上述猜測(通常稱為第一猜測)有關尚有下列第二猜測:若為緊緻流形,第一陳類C為負,則滿足的克勒度量存在且只有一個,這種度量就是所謂 克勒-愛因斯坦度量,這時微分方程變為
克勒一愛因斯坦度量奧平(T.Aubin)(即下文“奧賓”)於1976年初解決了第二猜測,而丘成桐於1976年底把兩個猜測都解決了,卡拉比猜測的解決,使得克勒-愛因斯坦流形的研究更加重要 。
卡拉比猜想與凱勒-愛因斯坦度量的密切關係
解決卡拉比猜想的榮譽亳無爭議的屬於丘成桐,但是在20世紀70 年代還有一個比丘成桐大7 歲的年輕人,他在卡拉比猜想上的工作需要提及,即法國數學家奧賓。奧賓生前就職於法國朱西厄數學中心,1990 年當選法國科學院通訊院士,2003 年成為法國科學院院士,主要研究方向是微分幾何和非線性偏微分方程,他被稱為法國幾何分析的一個重要先驅,他廣為人知的兩個研究是 山邊問題和卡拉比猜想(關於以下內容及其更多詳細內容請參考文後相應參考文獻) 。
對於奧賓在卡拉比猜想上的工作,主要體現在3 篇論文中:一篇是1970 年的《黎曼度量和曲率》,有42 頁;一篇是1976 年的《緊凱勒流形的復蒙日-安培方程》,有3 頁;還有一篇是與1976 年論文同名的1978 年的論文,這個論文主要是對1976 年論文的詳細論述,有33 頁。
克勒一愛因斯坦度量
克勒一愛因斯坦度量在1970年的論文中,奧賓在第一陳類為負,且假定凱勒流形具有非負全純雙截曲率情況下,求解了類似丘成桐的右邊為 的復蒙日-安培方程;在1976 年的論文中,奧賓充分論證了第一陳類為負的情況,並且在第一陳類為正的情況下;求解了類似丘成桐的右邊為 的復蒙日-安培方程;從而給出了卡拉比猜想的一個部分證明。在1978 年的論文中,奧賓對1976 年論文進行了更加詳細的論述,論文頁數由3頁變為33頁。
阿布德塞拉姆(A.B.Abdesselem)在紀念奧賓的文字中指出:奧賓最後幾乎完全證明了卡拉比猜想。在丘成桐之前,奧賓的這些工作確實是一個巨大的貢獻,但是數學界並未因此而震驚。丘成桐認為原因有兩個:一是奧賓是在假定凱勒流形具有非負全純雙截曲率的情況下,給出的卡拉比猜想的證明,這種具有非負全純雙截曲率的凱勒流形的類是相當有限制性的; 二是在證明中,奧賓使用了變分法,這種方法不是很容易理解的。就是奧賓本人在後來的著作中也提到了這一點,他說連續性方法更簡單(這是丘成桐使用的方法);而且在討論卡拉比猜想時,他使用了連續性方法,而不是變分法。
克勒一愛因斯坦度量後人常常將奧賓與卡拉比猜想聯繫在一起討論;奧賓本人則更傾向於將他的這些工作與凱勒-愛因斯坦度量聯繫起來,在他後來的文字中可以看到這一點。從這個角度,奧賓的上述工作又可以闡述為:在1970 年的論文中,奧賓首次研究了緊凱勒流形上凱勒-愛因斯坦度量存在性問題,並將其轉化成奧賓方程 的求解問題。在1976 年的論文中,奧賓證明了第一陳類為負的緊凱勒流形上存在凱勒-愛因斯坦度量。對於奧賓的工作,博規農做了很好的解釋。
凱勒-愛因斯坦度量是 里奇形式與 凱勒形式成比例的度量,也就是要求複流形上的度量不僅是凱勒度量,而且也是愛因斯坦度量。其中愛因斯坦度量是里奇形式與度量形式成比例的度量,之所以稱為愛因斯坦度量,是為了紀念愛因斯坦,因為這個條件也相當於說這個度量是真空愛因斯坦方程的一個解。允許愛因斯坦度量的黎曼流形稱作愛因斯坦流形;這類流形與很多重要論題有聯繫,包括楊-米爾斯理論。在已知的愛因斯坦流形的例子中,非常好的一類就是凱勒的。
緊凱勒流形上凱勒-愛因斯坦度量存在性問題與卡拉比猜想有密切關係,奧賓、貝斯( A.L.Besse)、莫羅亞努(A.Moroianmu) 等人的著作都有專門章節論述,總的來說,有四個方面:
(1) 從二者提出問題的角度分析 。凱勒-愛因斯坦度量存在性問題是:已知緊凱勒流 形上存在凱勒-愛因斯坦度量的必要條件是第一陳類為負、零和正;那么這是否也是充分條件。換句話說就是,緊凱勒流形上是否存在凱勒愛因斯坦度量。卡拉比猜想的問題是:已知緊凱勒流形上每一個( 1,1) 型成為其上某些凱勒度量里奇形式的必要條件是這些形式表示第一陳類;那么這是否也是充分條件。換句話說就是,緊凱勒流形上每一個表示第一陳類的形式是否都是其上某些凱勒度量的里奇形式。
克勒一愛因斯坦度量
克勒一愛因斯坦度量
克勒一愛因斯坦度量
克勒一愛因斯坦度量(2) 從二者所等價的方程分析。凱勒-愛因斯坦度量存在性問題等價於求解奧賓方程,當為負、零或正時,這個方程的解分別給出第一陳類為負、零和正的凱勒流形上的凱勒-愛因斯坦度量。特別的當的時候,這個問題就是卡拉比猜想:即第一陳類為零的緊凱勒流形上,允許里奇平坦凱勒度量。後來卡拉比曾通過口頭交流,將猜想推廣成第一陳類是負定的且愛因斯坦度量具有符號-1(即) 。到丘成桐的時候,卡拉比猜想可以分為三種情況,即第一陳類為負、零或正。在這三種情況下,凱勒-愛因斯坦度量的存在性問題就等價於求解右邊為的復蒙日-安培方程。
(3) 從卡拉比、丘成桐和奧賓的論文分析中都可以看到有關凱勒愛因斯坦度量的論述。卡拉比在《凱勒度量空間》一文中,實際上也隱含著猜想了凱勒流形上存在凱勒愛因斯坦度量,其中凱勒流形的第一陳類為負、零和正,並且它不允許任何全純向量場。丘成桐在《卡拉比猜想以及代數幾何中的一些新結果》一文中給出凱勒-愛因斯坦度量這個名稱以及對其的闡釋,在《關於緊凱勒流形的里奇曲率和復蒙日安培方程,Ⅰ》中,定理5就給出了第一陳類為負時的凱勒-愛因斯坦度量。奧賓在《黎曼度量和曲率》一文中就明確提到了愛因斯坦度量,該文第十節就是有關“愛因斯坦度量存在性的充分條件”。
(4) 從卡拉比、丘成桐和奧賓論文給出的結論分析。1976 年,丘成桐在給出卡拉比猜想完整證明的同時,也證明了第一陳類為負和零的情況下,緊凱勒流形上凱勒愛因斯坦度量的存在性。丘成桐在卡拉比猜想上的工作與卡拉比的工作一起被稱為卡-丘定理,這是一個有關卡拉比猜想的定理。丘成桐和奧賓在凱勒-愛因斯坦度量存在性上的工作與卡拉比的工作一起被稱為奧賓-卡-丘定理,這是有關凱勒-愛因斯坦度量存在性的定理;進一步,第一陳類為零情況下的凱勒愛因斯坦度量被稱為卡丘度量,第一陳類為負情況下的凱勒-愛因斯坦度量稱為奧賓-卡-丘度量。
部分的因為奧賓和丘成桐的這些工作,再次引發了對愛因斯坦流形的研究。1979 年9 月,在法國的埃斯帕利永就召開了關於愛因斯坦流形的討論會。
儘管卡拉比猜想與凱勒流形上凱勒-愛因斯坦度量存在性問題密切相關,但二者畢競是兩個獨立的問題。卡拉比猜想在1976 年由於丘成桐的工作,已告完全解決;而凱勒流形上凱勒-愛因斯坦度量存在性問題,當時奧賓和丘成桐解決了第一陳類為負、丘成桐解決了第一陳類為零的情形,對於第一陳類為正的情形,至今仍未解決。不過對於數學和物理,第一陳類為正情形的重要性遠遠不及前兩種情形。後來,丘成桐曾提出一個穩定性原則來研究這個問題,這個想法被稱為丘成桐猜想。對此丘成桐的學生們,包括田剛作了諸多努力,給出了一些有意義的結果。最近,在這個問題上,唐納森(S.K.Donaldson,1957~)和陳秀雄的又給出了一些進展 。

