歷史
自從愛因斯坦將牛頓引力理論推廣為廣義相對論(愛因斯坦引力理論)以來,愛因斯坦引力理論經受了嚴格的實驗檢驗,取得了巨大的成功。隨著實驗觀察數據的積累,愛因斯坦引力理論遇到了許多困難。Ia型超新星觀察數據表明宇宙是加速膨脹的,為了在愛因斯坦引力理論中說明宇宙的加速膨脹現象,必須引入具有負壓的暗能量,而暗能量的觀察密度卻與量子場論的估計值相差 倍。用光度資料測得的星系質量無法說明星系旋轉曲線,為了在愛因斯坦引力理論(牛頓引力理論)中說明此現象,必須引入占星系質量為96%的暗物質,暗物質在星系中的分布情況卻難以用現有的物理理論說明。美國的先鋒號宇宙飛船在遠離太陽時受到了無法用愛因斯坦引力理論(牛頓引力理論)及其它物理效應說明的指向太陽的微小引力,後來物理學家仔細研究了其它宇宙飛船也發現了不能用愛因斯坦引力理論(牛頓引力理論)及其它物理效應說明的微小作用力,這種宇宙飛船軌道異常現象強烈的表明:愛因斯坦引力理論具有缺陷。
利用標準的正則量子化方法和路徑積分方法將愛因斯坦引力理論進行量子化得到了不能重整化的結果,這宣告了愛因斯坦引力理論的標準量子化的失敗。雖然圈量子化方法取得了一定的成果,但圈量子化是否具有愛因斯坦引力理論極限卻沒有證明。粒子物理學的理論也取得了一定成果,但仍未得到一個可重整化的量子引力理論。愛因斯坦引力理論的量子化困難提示我們:愛因斯坦引力理論可能存在缺陷。
為了清晰的描述愛因斯坦引力理論的物理圖像,我們需要用正交標架場來改寫愛因斯坦引力理論。
當將愛因斯坦引力理論與狄拉克電子理論作比較研究時,我們發現:愛因斯坦引力理論與狄拉克電子理論不相容。由於狄拉克電子理論的實驗檢驗精度遠大於愛因斯坦引力理論的實驗檢驗精度,因此我們有理由認為:愛因斯坦引力理論具有缺陷。
通過將愛因斯坦引力理論推廣為有撓時空中的愛因斯坦-嘉當引力-自旋場理論,我們可以消除愛因斯坦引力理論與狄拉克電子理論之間的矛盾。因此可以認為愛因斯坦-嘉當引力-自旋場理論是比愛因斯坦引力理論更加接近真理的引力理論。利用愛因斯坦-嘉當引力-自旋場理論可以在不引入暗能量的情形下解釋飛船軌道異常和宇宙加速膨脹,也可以說明星系暗物質的分布情況。愛因斯坦-嘉當引力-自旋場理論預言:磁化物質之間除了有磁場作用力外還應存在附加的自旋-自旋作用力。
動機
愛因斯坦-嘉當理論
愛因斯坦-嘉當理論
愛因斯坦-嘉當理論廣義相對論無法描述自旋軌道耦合的理由根源於黎曼幾何,而廣義相對論是建構於其上。在黎曼幾何中,里奇曲率張量(Ricci curvature tensor) 必須是 a與 b對稱的(亦即, )。因此愛因斯坦曲率張量(Einstein curvature tensor) 定義為
愛因斯坦-嘉當理論
愛因斯坦-嘉當理論也必須是對稱的。在廣義相對論中,愛因斯坦曲率張量為局域重力建構了模型,且其(透過重力常數的聯繫)等同於應力-能量張量或能量-動量張量 (此處我們將能量-動量張量表示為 P,是因為廣義相對論中常用來表示能量-動量張量的 T在愛因斯坦-嘉當理論留給仿射扭率(affine torsion)。)愛因斯坦曲率張量的對稱性強迫動量張量必須是對稱的。然而,當自旋與軌道角動量進行交換時,根據角動量守恆的廣義式,則知動量張量為不對稱的。
愛因斯坦-嘉當理論自旋流(spin current)之散度——
細節請參考自旋張量(spin tensor)條目。
因此廣義相對論無法適當地為自旋軌道耦合建構模型。
於1922年,埃利·嘉當提出猜想認為廣義相對論應該被延伸成包括仿射扭率(affine torsion),其允許里奇張量可以是不對稱的。雖然自旋-軌道耦合是重力物理學中相對次要的現象,愛因斯坦–嘉當理論則相當重要,因為
(1) 其顯示出仿射理論,而非度規理論,對於重力能提供更好的描述;
(2) 其解釋仿射扭率的意義,在一些量子引力理論中自然出現;
(3) 其將自旋詮釋為仿射扭率,在幾何意義上是時空介質(spacetime medium)之位錯場(field of dislocations)的一項連續近似。
將黎曼幾何擴充以包含了仿射扭率則稱為 黎曼-嘉當幾何(Riemann–Cartan geometry)。
幾何與表示式
愛因斯坦-嘉當理論
愛因斯坦-嘉當理論
愛因斯坦-嘉當理論
愛因斯坦-嘉當理論時空物理學的數學基礎是仿射微分幾何(affine differential geometry),其中我們賦予n維微分流形M 一項沿著M上路徑對矢量作平行移動的定律。(一微分流形的每個點,我們都有切矢量所組成的一個線性空間,不過我們無法將矢量移動到其他點,或是去比較M上位於不同兩點上的矢量。)平行移動保存了矢量間的線性關係;也就是說,若兩矢量 與 在M上同一點,沿著一曲線被平行移動成為矢量 與 ,則兩者的線性組合
愛因斯坦-嘉當理論也平行移動為
愛因斯坦-嘉當理論仿射微分幾何中的平行性(Parallelism)是路徑相依(path-dependent)的;也就是說,如果沿著同起點與同終點之兩相異路徑平行移動一矢量,在終點所得的結果矢量一般來說是相異的。這樣的差異本質上即為曲率的影響,而曲率在微分幾何中是箇中心概念。
愛因斯坦-嘉當引力理論簡介
用標架場重寫愛因斯坦引力理論
愛因斯坦-嘉當理論
愛因斯坦-嘉當理論
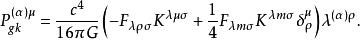
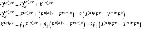
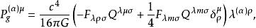
愛因斯坦-嘉當理論用標架場 代替度規場 ,我們可以得到用標架場 (僅考慮內稟坐標系變換是整體Lorentz變換)表示的兩種等價形式的推廣的愛因斯坦引力場運動方程為:
愛因斯坦-嘉當理論(1)引力場運動方程第一形式:
愛因斯坦-嘉當理論(2)引力場運動方程第二形式:
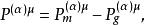
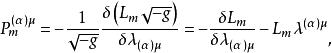
其中:
愛因斯坦-嘉當理論
愛因斯坦-嘉當理論
愛因斯坦-嘉當理論
愛因斯坦-嘉當理論
愛因斯坦-嘉當理論
愛因斯坦-嘉當理論當 時,由引力場運動方程的第二形式得到愛因斯坦引力場運動方程:
愛因斯坦-嘉當理論與狄拉克電子理論之間的矛盾
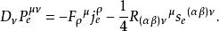
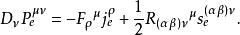
愛因斯坦-嘉當理論考慮電子與引力的作用時,我們需要引入標架仿射聯絡 。在黎曼時空中,存在關係式:
愛因斯坦-嘉當理論標架場與標架仿射聯絡不獨立。 因此,黎曼時空中的電子場、電磁場及引力場的運動才方程為:
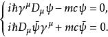
(1)電子場運動方程:
愛因斯坦-嘉當理論(2)電磁場運動方程:
愛因斯坦-嘉當理論(3)引力場運動方程:
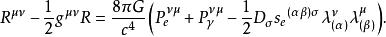
愛因斯坦-嘉當理論根據電子場運動方程得到能量-動量流運動方程為:
愛因斯坦-嘉當理論根據引力場運動方程得到能量-動量流運動方程為:
愛因斯坦-嘉當理論上述結果表明,從電子場運動方程得到的能量-動量流運動方程與從引力場運動方程得到的能量-動量流運動方程是不相容的。
套用
•解釋宇宙加速膨脹
•解釋先鋒異常
•解釋星系轉動曲線
•預言帶電物體周圍的引力異常
•預言日月食的引力異常
參見
•ECT理論-牛頓引力理論
