物化性質
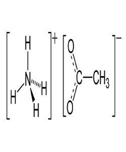
醋酸銨【英文名稱】ammonium acetate
【結構或分子式】CH3COONH4
【相對分子量或原子量】77.083
【密度】1.17g/cm3
【熔點(℃)】114
【性狀】稍有乙酸氣味的白色三角晶體,水溶液顯中性!此性質很重要!
【溶解情況】溶於水和乙醇,不溶於丙酮,水溶液顯中性!此性質很重要!是強電解質,在水中完全電離。
【製備或來源】由冰醋酸與氨作用而得。
【其他】易潮解,遇強鹼分解出氨氣。【PH】由於醋酸根和銨離子的水解程度相差不大,所以溶液PH在7左右,顯中性
製備或來源
由冰醋酸與氨作用而得。
其他
易潮解
吸潮除水
方法①:乾燥的時候使用的是甲苯回流,利用共沸原理出水,除去甲苯用油泵抽乾。
方法②:在無水乙酸下重結晶兩次,然後再真空乾燥箱下100度乾燥24小時。
方法③:用油泵鏇轉蒸發,水浴溫度65度即能得到晶體。
可水解
在水溶液中會發生微弱水解,並且生成的兩種產物對於水解是相互促進的
NH4++CH3COO-+H2O===可逆===NH3·H2O+CH3COOH

