定義
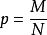
超幾何分布產品抽樣檢查中經常遇到一類實際問題,假定在N件產品中有M件不合格品,即不合格率。
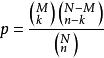
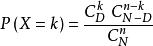
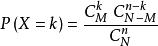
超幾何分布在產品中隨機抽n件做檢查,發現k件不合格品的機率為,k=0,1,2...min{n,M}。
超幾何分布亦可寫作(與上式不同的是M可為任意實數,而C表示的組合數M為非負整數)
超幾何分布為古典概型的組合形式,a為下限,b為上限,此時我們稱隨機變數X服從超幾何分布(hypergeometric distribution)。
需要注意的是:
(1)超幾何分布的模型是不放回抽樣。
(2)超幾何分布中的參數是M,N,n,上述超幾何分布記作X~H(n,M,N)。
套用
示例
已經知道某個事件的發生機率,判斷從中取出一個小樣本,該事件以某一個機率出現的機率問題。
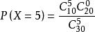
例:在一個口袋中裝有30個球,其中有10個紅球,其餘為白球,這些球除顏色外完全相同。遊戲者一次從中摸出5個球。摸到至少4個紅球就中一等獎,那么獲一等獎的機率是多少?
解:由題意可見此問題歸結為超幾何分布模型。
其中N = 30. D = 10. n = 5.
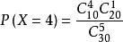
P(一等獎) = P(X=4) + P(X=5)
超幾何分布由公式 ,k=0,1,2,...得:
超幾何分布
超幾何分布P(一等獎) = 106/3393
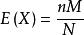
期望
超幾何分布對X~H(n,M,N) , .
證明:
引理一:∑{C(x,a)*C(d-x,b),x=0..min{a,d}}=C(d,a+b),考察(1+x)^a*(1+x)^b中x^d的係數即得。(另:還可以由超幾何分布1=∑P(X=K),k=0,1,2....n得)
引理二:k*C(k,n)=n*C(k-1,n-1),易得。
正式證明:
EX=∑{k*C(k,M)*C(n-k,N-M)/C(n,N),k=0..min{M,n}}
=1/C(n,N)*∑{M*C(k-1,M-1)*C(n-k,N-M),k=1..min{M,n}}
//(提取公因式,同時用引理二變形,注意k的取值改變)
=M/C(n,N)*∑{C(k-1,M-1)*C(n-k,N-M),k=1..min{M,n}} (提取,整理出引理一的前提)
=M*C(n-1,N-1)/C(n,N) (利用引理一)
=Mn/N (化簡即得)
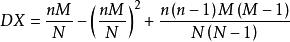
方差
超幾何分布對X~H(n,M,N) , .
證明:
DX=E(X^2)-(EX)^2 (此公式利用定義式簡單展開即得)
=∑{k^2*C(k,M)*C(n-k,N-M)/C(n,N),k=0..min{M,n}}-(Mn/N)^2
=1/C(n,N)*∑{M*k*C(k-1,M-1)*C(n-k,N-M),k=1..min{M,n}}-(Mn/N)^2(提取,變形)
=M/C(n,N)*∑{(k-1)*C(k-1,M-1)*C(n-k,N-M)+C(k-1,M-1)*C(n-k,N-M),k=1..min{M,n}}-(Mn/N)^2
(拆項,變形)
=M/C(n,N)*∑{(M-1)*C(k-2,M-2)*C(n-k,N-M),k=2..min{M,n}}+M/C(n,N)*∑{C(k-1,M-1)*C(n-k,N-M),k=1..min{M,n}}-(Mn/N)^2 (拆開∑,就是分組求和)
=M(M-1)*C(n-2,N-2)/C(n,N)+Mn/N-(Mn/N)^2
=nM(N-M)(N-n)/[(N^2)(N-1)] (化簡即得)
超幾何分布和二項分布的聯繫
超幾何分布
超幾何分布(1)在超幾何分布中,當 時, (二項分布中的p)。
超幾何分布(2)當 時,超幾何分布的數學期望
超幾何分布
超幾何分布
超幾何分布(3)當時,超幾何分布的方差(二項分布的方差)。
超幾何分布(4)當時,超幾何分布近似為二項分布。
函式代碼
超幾何分布計算函式
function HYPGEOMDIST(kkk,n,MM,NN)
for k=kkk to n
AA=1
BBA=1
BBB=1
lll=n
for i= 0 to k-1
BBA=BBA*(MM-i)/(NN-i)
next
for j= k to n
BBB=BBB*(NN-MM-j+k)/(NN-j)
next
BBs=BBB*BBA
if lll-k>k then
x=K
Else x=lll-k
end if
for i=1 to x
lll=lll-1
next
HYPGEOMDIST=HYPGEOMDIST+BBS
next
end function
response.write HYPGEOMDIST(200,2200,1000,17000)
%>

