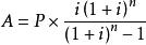
資金回收係數計算公式:,A=P*(A/P,i,n)。

資金回收係數亦稱“投資回收係數”或“資本回收係數”。在預定的回收期內,按複利計息的條件下,每年回收額相當投資額的比率。在利率與期限既定的前提下,每年要收回多少資金才能定額回收原來的投資,其數值根據所用利率與年數可從評估項目用貼現表中查得。投資回收係數實質上是一筆投資現值轉換成預定期限中每年年金現值的換算係數,廣泛地套用於投資或貸款回收額的計算。
資金回收係數計算公式:,A=P*(A/P,i,n)。
投資回收係數是在已知原始投資額、預定投資報酬率和投資壽命期的情況下,按照計算貨幣時間價值的要求,根據原始投資額求出每年末應等額收回資金的係數。就量的大小...
複利現值係數亦稱折現係數或貼現係數,是指按複利法計算利息的條件下,將未來不同時期一個貨幣單位折算為現時價值的比率。它直接顯示現值同已知複利終值的比例關係...
內容介紹 時間價值 年金係數 現值係數資金等值,發生在不同時點上的兩筆或一系列絕對數額不等的資金額,按資金的時間價值尺度,所計算出的價值保持相等。
投資的情況下。這部分回收的資金可以用於經營活動。所以,該係數的大小,要結合...主要內容折舊影響係數折舊影響係數=(折舊額÷經營活動現金淨流量)×100% 內容部份折舊影響係數是指固定資產折舊額與經營活動現金淨流量之比...
主要內容 內容部份等額分付資本回收是指起初投資P,在利率i,回收周期數n為定值的情況下,每期期末取出的資金為多少時,才能在第n期期末把全部本利取出,即全部本利回收。
流量圖 計算方法 相關條目 參考文獻風險基礎財務管理企業所經歷的經濟風險均是企業資金運行過程中造成的風險...、指導財務活動時,通過識別、測試企業資金運動過程中客觀存在的風險,採取...在企業資金運行過程中造成的風險。資金是企業的血液,是企業生產經營活動...
定義 目標體系 循環 方法 實施。例如,某企業投資33.5萬元,如每年資金利潤率15%,五年內要全部回收投資,利用累計現值年平均係數可求得每年必須回收利潤和折舊收入為33.5×1/3.35=10萬元。累計現值年平均係數又叫投資回收係數。 ...
複利法計算法 技術經濟計算 累計時值係數財務報表數據,計算簡單,容易理解和掌握,但槓桿係數與風險大小的邏輯關係不清...係數的計算麻煩,需要較強的專業理論知識和經驗判斷,需要較準確的數理統計數據...管理籌資風險來源於兩個方面: 一是償債風險。由於借入資金嚴格規定了借款方式...
形成背景 管理概念 管理程式 籌資風險 投資風險