資金等值是指不同時間的資金外存在著一定的等價關係,這種等價關係稱為資金等值,通過資金等值計算,可以將不同時間發生的資金量換算成某一相同時刻發生的資金量,然後即可進行加減運算。
資金等值公式:
1、一次支付終值公式:
資金等值
資金等值
資金等值
資金等值
資金等值
資金等值式中: 表示終值, 表示現值, 表示時間點, 表示折現率,稱為一次支付終值係數,通常用符號表示。
F=P(1+i)
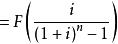
2、一次支付現值公式:
資金等值
資金等值
資金等值公式中稱為一次支付現值係數,通常用符號表示。
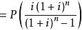
3.等額支付終值公式:
資金等值
資金等值4.等額支付償債基金公式
資金等值
資金等值5.等額支付資金回收公式
資金等值
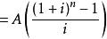
資金等值6.等額支付現值公式
資金等值
資金等值影響資金等值的因素有三個:金額的多少、資金髮生的時間、利率(或折現率)的大小。

