流量圖
等額分付資本回收現金流量圖
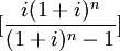
等額分付資本回收計算方法
等額分付資本回收計算
等額分付資本回收
等額分付資本回收式中:
某建設工程投資2000萬元,希望在6年內等額回收全部投資,如果折現率為8%,每年至少應回收多少?
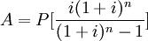
已知:P=2000。i=8%,n=6
則:A=P(A/P,i,n)
=2000×(A/P,8%,6)
=2000×0.2163
=432.6(萬元)
等額資本回收公式在投資項目可行性研究中具有重要作用。若項目實際返還的資金小於根據投資計算的等額分付資本回收額,則說明該項目在指定期間無法按要求收回全部投資。使用借人資本進行投資則需要考察其償債能力。資本回收係數與償債基金係數的關係為:
等額分付資本回收
等額分付資本回收
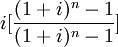
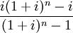
等額分付資本回收(A/P,i,n)-(A/F,i,n)
=i
相關條目
整付終值
等額分付終值
等額分付現值
等額分付償債基金
整付現值
參考文獻
1 武獻華,宋維佳,屈哲.工程經濟學.東北財經大學出版社,2007.4.
