分析原理
效益分析的基本原理是:針對某項支出目標,提出若干實現該目標的方案,運用一定的技術方法,計算出每種方案的成本和收益,通過比較方法,並依據一定的原則,選擇出最優的決策方案。
分析步驟
在開始成本效益分析前了解成本現狀十分重要。你需要權衡每一項投資的利弊。如果可能的話,再權衡一下不投資會有什麼影響。不要以為如果不投資成本就會變高。許多情況下,雖然新投資可獲得巨額利潤,但是不投資的成本相對更小。
對一項投資進行成本效益分析的步驟:1.確定購買新產品或一個商業機會中的成本
2.確定額外收入的效益
3.確定可節省的費用
4.制定預期成本和預期收入的時間表
5.評估難以量化的效益和成本
前三個步驟十分簡單明了。首先確定與商業風險相關的一切成本——本年度主要的成本以及下一年度的預計成本。額外收入也許是由於顧客數量的增加或現有顧客購買量的擴大。為了解這些收入的效益,一定要將與收入相關的新成本考慮在內,最後就可以考慮利潤了。可節省費用顯得簡單一些,至少在某種意義上反映了利潤的增加,可直接計入利潤。然而,有時可節約費用也有微妙之處,更難確認。可節約費用可以來自各種渠道,以下列舉的一些渠道比較便於量化:更有效的加工:
這意味著減少加工過程需要的人數,或者說簡化加工步驟,甚至於縮短每一步驟所用的時間。更精確的加工:
要求減少修正錯誤的時間和儘量避免客戶的流失。下一步,為以下兩個要素——即成本和收入或可節約費用——制訂出相關一段時期內的計畫。你希望何時該成本發生?成本的增量是多少?你期望何時獲得效益(額外收入或可節約費用)?效益增值是多少?
由來和作用
費用效益分析是從20世紀50年代中期出現的費用效果分析發展而來。它的興起,從經濟實踐看,與公共投資的增加、公共事業的發展分不開;從理論淵源看,同經濟理論(福利經濟學與資源有效分配理論)、工程經濟學、運籌學的發展與匯合相聯繫。費用效果分析只適用於性質相同或目標相同的活動的經濟選擇問題,而費用效益分析不僅能表明每個項目或方案是否值得執行,而且還能計算與比較幾種不同性質的活動相應的效益與費用的差額。這是更有力的決策工具。但它對決策的作用,不單純地表現在分析的結論上,重要的在分析過程中所提供的有用信息和反映出來的詳細內容上。
特點和計算方法
費用效益分析著重於費用與效益兩方面的分別計量與相互比較。但它與財務會計核算不同,不是從企業觀點而是從社會觀點來計量的;不是只分析直接的效益與費用,而是分析包括間接的效益與費用在內的全部的效益與費用;不限於貨幣收支的比較,還包括不能用貨幣反映甚至較難數量化的一些效益與費用的比較;不是考慮過去實際發生的效益與費用,而是預期決策後與行動方案選擇有關的未來的效益與費用。原則上,費用的計量應與稀缺資源的有效使用相符合,效益的計量應與政策的發展目標相符合。具體說來,一個方案或項目的費用包括基本費用(投資費用和經營費用)、輔助費用(為充分發揮效益而產生的有關費用)、無形費用(生態破壞、環境污染等引起的經濟損失和社會代價);一個方案或項目的效益相應地也包括基本效益(能直接提供的產品或服務的價值)、派生效益(有關派關活動所增加的收入)、無形效益(增進國家安全、減少生命死亡、美化風景等社會效益)。在計量過程中,由於市場價格因稅收、壟斷等種種原因不能正確反映甚至極大歪曲投入與產出的社會價值,還由於某些項目(如時間、生命等)不是商品沒有市場價格,但為了比較又需要給予貨幣估價,西方經濟學家提出和使用了影子價格。他們認為採用影子價格能更好地反映機會成本。在計量中為了使不同時期的費用與效益能在同一基礎上加總和比較,還需把未來時期的費用與效益通過貼現、回扣換算成為基年現值。貼現率(或回扣率)的確定,要參考利息率和根據決策者的意見。在計量的基礎上比較費用與效益,可以計算它們的現值之間的差額,看其淨效益(總效益減總費用)現值的大小;也可以計算它們的現值之間的比率,或者表現為總效益對總費用之比,一般要求大於1,或者表現為總費用對總效益之比,一般要求小於1,這兩種表現方法互為倒數。
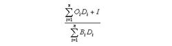
費用效益分析假定投資費用I於基年一次支出,經營費用O在使用期間逐年支出,輔助費用已從基本效益中扣除,派生效益已加於基本效益,構成各年的效益 B,無形費用與無形效益均從略,這時比較費用與效益的計算公式有:
同理,有總效益對總費用比率的計算公式:
費用效益分析或總費用對總效益比率的計算公式:
費用效益分析費用效益分析為評價一個或幾個行動方案提供了能全面處理多種因素的邏輯結構,可為有效的決策提供經過處理的大量有用信息。它是一種“次優”方法(secondbest method) 。它不同於最優分析,不研究經濟中為使最優狀態得以存在的那些條件,只是比較兩種或有限幾種的行動方案,從中得出何者為優的結論,而所有行動方案本身不一定就是好的或最優的。只能在已有的方案中進行選擇,這是費用效益分析的局限性。
套用
西方國家的費用效益分析相當於中國的經濟效果比較分析。運用經濟效果比較分析,擇優選取技術上先進、生產上可行、經濟上合理的建設項目,可以更好地利用資源、發展經濟。儘管費用效益分析存在上面所述的局限性,但是這種分析程式和方法,對於改進和發展經濟效果比較分析,仍有很大的參考價值。

