變分形式它常藉助於數學物理的某種變分原理而導出,常用的一種抽象變分形式如下.設Y是希爾伯特空間,a(·,·)是定義在VXV上的連續雙線性泛函,且是強制的,.fEV'(V的對偶空間),則變分問題可表述為
可以證明(1)有惟一解.若a(,·)是對稱的,即a (u,二)=a(二,u), `dv,uEV,問題(1)等價於下述泛函極小問題
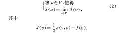
變分形式稱(1)為數學物理問題的變分形式(或弱形式,伽遼金意義的變分形式),稱(2)是里茨意義的變分形式.
變分形式(variational formulation)數學物理問題的一種數學表達形式.
變分形式它常藉助於數學物理的某種變分原理而導出,常用的一種抽象變分形式如下.設Y是希爾伯特空間,a(·,·)是定義在VXV上的連續雙線性泛函,且是強制的,.fEV'(V的對偶空間),則變分問題可表述為
可以證明(1)有惟一解.若a(,·)是對稱的,即a (u,二)=a(二,u), `dv,uEV,問題(1)等價於下述泛函極小問題
變分形式稱(1)為數學物理問題的變分形式(或弱形式,伽遼金意義的變分形式),稱(2)是里茨意義的變分形式.
變分方法(variational method)是以變分學 和變分原理為基礎的一種近似計算方法,是解決力學和其他領域問題的有效數學工具。
變分的研究對象 變分原理 歷史沿革與分類彈性力學廣義變分原理是彈性力學最小勢能原理和彈性力學最小余能原理的推廣,其特點是,變分式中各量都可有獨立的變分,並且事前不受任何限制。
彈性力學廣義變分原理 正文 配圖 相關連線第二變分公式(second variational formula)是刻畫能量泛函在臨界點附近屬性的重要公式。第一變分公式是計算能量泛函的一階變分公式。
概念 能量泛函 第一變分公式 調和映射泛系變分原理(pan variation ciple)泛系論基本理法之一
泛系變分運籌相對論(pan variation relativity)泛系論基本理法之一
劇本是一種文學形式,是戲劇藝術創作的文本基礎,編導與演員根據劇本進行演出。與劇本類似的辭彙還包括腳本、劇作等等。它以代言體方式為主,表現故事情節的文學樣...
基本內容 結構介紹 格式 分類 創作歸屬權《圖像處理的變分和偏微分方程方法》是2009年科學出版社出版的圖書,作者是馮象初。
內容簡介 圖書目錄變異型預激綜合徵是一種房室傳導的異常現象衝動經附加通道下傳,提早興奮心室的一部分或全部,引起部分心室肌提前激動有預激現象者稱為變異型預激綜合徵(pre-...
基本簡介 分類概述 發生機理 心電圖分型 特徵描述3.2.2最小功耗原理 5.1最小功耗原理在小變形彈性靜力學中的套用 5.2最小功耗原理在小變形彈性動力學中的套用
圖書信息 內容簡介 目錄