基本信息
中文名稱 西司他丁
CAS NO. 82009-34-5
中文別名 (Z)-7-[(2S)-2-氨基-3-羥基-3-氧代丙基]硫-2-[[(1S)-2,2-二甲基環丙甲醯]氨基]庚-2-烯酸; 西司他汀; 西斯他汀; 西拉司丁; [R-[R^<*>^,S^<*>^(Z)]]-7-[(2-氨基-2-羧基乙基)硫]-2-[[(2,2-二甲基環丙基)羰基]氨基]-2-庚烯酸
英文名稱 Cilastatin
英文別名 (r-(r*,s*-(z)))-)carbonyl)amino); mk-791; Cilastain; (2Z)-7-[[(2R)-2-amino-2-carboxyethyl]thio]-2-[[[(1S)-2,2-dimethylcyclopropyl]carbonyl]amino]-2-heptenoic Acid; Cilastatin acid; (Z)-7-[(2S)-2-Amino-3-hydroxy-3-oxopropyl]sulfanyl-2-[[(1S)-2,2-dimethylcyclopropanecarbonyl]amino]hept-2-enoic acid; (z)-(s)-7-Chloro-2-(2,2-Dimethylcyclopropane carboxamido)-2-Heptenoic acid; (2Z)-7-{[(2S)-2-amino-2-carboxyethyl]sulfanyl}-2-({[(1S)-2,2-dimethylcyclopropyl]carbonyl}amino)hept-2-enoic acid; (2Z)-7-{[(2R)-2-amino-2-carboxyethyl]sulfanyl}-2-({[(1S)-2,2-dimethylcyclopropyl]carbonyl}amino)hept-2-enoic acid
EINECS 279-875-8
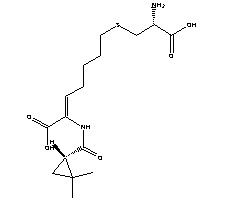
分子式 C16H26N2O5S
分子量 358.45
物理化學性質
西司他丁鈉(Cilastatin SodiuIn):C16H25N2NaO5S。[81129-83-1]。類白色至黃白色無定形固體,有吸濕性。極易溶於水或甲醇。pKal2.0,pKa24.4,pKa39.2。
產品用途
腎肽酶抑制劑。和碳青黴烯類抗生素亞胺培南伍使用,因其對腎肽酶的特異性抑制,使後者免受腎肽酶的降解,提高了亞胺培南的活性。西司他丁鈉和亞胺培南(1:1)的合劑為泰能(Tienan;Primaxin)。

