複合材料力學的簡介
近代複合材料最重要的有兩類:一類是纖維增強複合材料,主要是長纖維鋪層複合材料,如玻璃鋼;另一類是粒子增強複合材料,如建築工程中廣泛套用的混凝上。纖維增強複合材料是一種高功能材料,它在力學性能、物理性能和化學性能等方面都明顯優於單一材料。
發展纖維增強複合材料是當前國際上極為重視的科學技術問題。現今在軍用方面,飛機、火箭、飛彈、人造衛星、艦艇、坦克、常規武器裝備等,都已採用纖維增強複合材料;在民用方面,運輸工具、建築結構、機器和儀表部件、化工管道和容器、電子和核能工程結構,以至人體工程、醫療器械和體育用品等也逐漸開始使用這種複合材料。
發展簡史
在自然界中,存在著大量的複合材料,如竹子、木材、動物的肌肉和骨骼等。從力學的觀點來看,天然複合材料結構往往是很理想的結構,它們為發展人工纖維增強複合材料提供了仿生學依據。
人類早已創製了有力學概念的複合材料。例如,古代中國人和猶太人用稻草或麥秸增強蓋房用的泥磚;兩千年前,中國製造了防腐蝕用的生漆襯布;由薄綢和漆粘結製成的中國漆器,也是近代纖維增強複合材料的雛形,它體現了重量輕、強度和剛度大的力學優點。
以混凝土為標誌的近代複合材料是在一百多年前出現的。後來,原有的混凝土結構不能滿足高層建築的強度要求,建築者轉而使用鋼筋混凝土結構,其中的鋼筋提高了混凝土的抗拉強度,從而解決了建築方面的大量問題。
20世紀初,為滿足軍用方面對材料力學性能的要求,人們開始研製新材料,並在20世紀40年代研製成功玻璃纖維增強複合材料(即玻璃鋼)。它的出現豐富了複合材料的力學內容。50年代又出現了強度更高的碳纖維、硼纖維複合材料,複合材料的力學研究工作由此得到很大發展,並逐步形成了一門新興的力學學科——複合材料力學。
為了克服碳纖維、硼纖維不耐高溫和抗剪下能力差等缺點,近二十年來,人們又研製出金屬基和陶瓷基的複合材料。華人在複合材料的研究中做出了很多貢獻,但中國在複合材料力學研究方面的起步和水平晚於歐美十到十五年。
進入20世紀60年代後,複合材料力學發展的步伐加快了。1964年羅森提出了確定單向纖維增強複合材料縱向壓縮強度的方法。1966年惠特尼和賴利提出了確定複合材料彈性常數的獨立模型法。1968年,經蔡為侖和希爾的多年研究形成了蔡-希爾破壞準則;後於1971年又出現了張量形式的蔡-吳破壞準則。
1970年瓊斯研究了一般的多向層板,並得到簡單的精確解;1972年惠特尼用雙重傅立葉級數,求解了扭轉耦合剛度對各向異性層板的撓度、屈曲載荷和振動的影響問題,用這種方法求解的位移既滿足自然邊界條件,又能很快收斂到精確解;同年,夏米斯、漢森和塞拉菲尼研究了複合材料的抗衝擊性能。另外,蔡為侖在單向層板非線性變形性能的分析方面,亞當斯在非彈性問題的細觀力學理論方面,索哈佩里在複合材料粘彈性應力分析等都做了開創性的研究工作。
近年來,混雜複合材料力學性能的研究吸引了一些學者的注意力。林毅於1972年首先發現,混雜複合材料的應力-應變曲線的直線部分所對應的最大應變,已超過混雜複合材料中具有低延伸率的纖維的破壞應變。這一不易理解的現象,於1974年又被班塞爾等所發現,後人稱之為“混雜效應”。
特性
複合材料的比強度和比剛度較高
材料的強度除以密度稱為比強度;材料的剛度除以密度稱為比剛度。這兩個參量是衡量材料承載能力的重要指標。比強度和比剛度較高說明材料重量輕,而強度和剛度大。這是結構設計,特別是航空、航天結構設計對材料的重要要求。現代飛機、飛彈和衛星、複合電纜支架、複合電纜夾具等機體結構正逐漸擴大使用纖維增強複合材料的比例。
複合材料的力學性能可以設計,即可以通過選擇合適的原材料和合理的鋪層形式,使複合材料構件或複合材料結構滿足使用要求。例如,在某種鋪層形式下,材料在一方向受拉而伸長時,在垂直於受拉的方向上材料也伸長,這與常用材料的性能完全不同。又如利用複合材料的耦合效應,在平板模上鋪層製作層板,加溫固化後,板就自動成為所需要的曲板或殼體。
複合材料的抗疲勞性能良好
一般金屬的疲勞強度為抗拉強度的40~50%,而某些複合材料可高達70~80%。複合材料的疲勞斷裂是從基體開始,逐漸擴展到纖維和基體的界面上,沒有突發性的變化。因此,複合材料在破壞前有預兆,可以檢查和補救。纖維複合材料還具有較好的抗聲振疲勞性能。用複合材料製成的直升飛機旋翼,其疲勞壽命比用金屬的長數倍。
複合材料的減振性能良好
纖維複合材料的纖維和基體界面的阻尼較大,因此具有較好的減振性能。用同形狀和同大小的兩種梁分別作振動試驗,碳纖維複合材料梁的振動衰減時間比輕金屬梁要短得多。
複合材料通常都能耐高溫
在高溫下,用碳或硼纖維增強的金屬其強度和剛度都比原金屬的強度和剛度高很多。普通鋁合金在400℃時,彈性模量大幅度下降,強度也下降;而在同一溫度下,用碳纖維或硼纖維增強的鋁合金的強度和彈性模量基本不變。複合材料的熱導率一般都小,因而它的瞬時耐超高溫性能比較好。
複合材料的安全性好
在纖維增強複合材料的基體中有成千上萬根獨立的纖維。當用這種材料製成的構件超載,並有少量纖維斷裂時,載荷會迅速重新分配並傳遞到未破壞的纖維上,因此整個構件不至於在短時間內喪失承載能力。
複合材料的成型工藝簡單
纖維增強複合材料一般適合於整體成型,因而減少了零部件的數目,從而可減少設計計算工作量並有利於提高計算的準確性。另外,製作纖維增強複合材料部件的步驟是把纖維和基體粘結在一起,先用模具成型,而後加溫固化,在製作過程中基體由流體變為固體,不易在材料中造成微小裂紋,而且固化後殘餘應力很小。
研究內容
同常規材料的力學理論相比,複合材料力學涉及的範圍更廣,研究的課題更多。
首先,常規材料存在的力學問題,如結構在外力作用下的強度、剛度,穩定性和振動等問題,在複合材料中依然存在,但由於複合材料有不均勻和各向異性的特點,以及由於組分材料幾何(各組分材料的形狀、分布、含量)和鋪層幾何(各單層的厚度、鋪層方向、鋪層順序)等方面可變因素的增多,上述力學問題在複合材料力學中都必須重新研究,以確定那些適用於常規材料的力學理論、方法、方程、公式等是否仍適用於複合材料,如果不適用,應怎樣修正。
其次,複合材料中還有許多常規材料中不存在的力學問題,如層間應力(層間正應力和剪應力耦合會引起複雜的斷裂和脫層現象)、邊界效應以及纖維脫膠、纖維斷裂、基體開裂等問題。
最後,複合材料的材料設計和結構設計是同時進行的,因而在複合材料的材料設計(如材料選取和組合方式的確定)、加工工藝過程(如材料鋪層、加溫固化)和結構設計過程中都存在力學問題。
當前,複合材料力學的研究工作主要集中在纖維增強複合材料多向層板殼結構的改進和套用上。這種結構是由許多不同方向的單向層材料疊合粘結而成的,因此叫作多向層材料結構。單向層材料中沿纖維的方向稱為縱向;而在單向層材料子面內垂直於纖維的方向稱為橫向。
縱向和橫向統稱為主軸方向。單向層材料是正交各向異性材料,對它的力學研究以及對它的性能參量的了解乃是對多向層材料以及多向層板層殼結構進行力學研究的基礎。多向層材料中各單向層材料的纖維方向一般是不同的。如何排列這些單向層材料要根據結構設計的力學要求進行。
其它力學分支學科
靜力學、動力學、流體力學、分析力學、運動學、固體力學、材料力學、複合材料力學、流變學、結構力學、彈性力學、塑性力學、爆炸力學、磁流體力學、空氣動力學、理性力學、物理力學、天體力學、生物力學、計算力學。
主要物理學分支
物理學概覽、力學、熱學、光學、聲學、電磁學、核物理學、固體物理學
分類
複合材料力學的研究可分為微觀力學(細觀力學)和巨觀力學。
微觀力學
複合材料微觀力學也稱複合材料細觀力學,是從微觀角度研究複合材料組分之間的相互影響,以此預測複合材料的巨觀力學性能,為材料的設計、製造提供依據。微觀力學分析對象是從複合材料中取出一個代表性的體積單元,它不能是通常的無限小的單元體,而是必須能夠代表複合材料的細觀結構,因而足以用它表征複合材料的基本性能。如研究單向增強纖維複合材料的彈性時,最簡單的是取如圖所示的代表性體積單元。根據指定荷載及單元相應的邊界條件,用材料力學或彈性力學等方法求解邊值問題,以求出複合材料的彈性模量和強度。微觀力學考慮了各組分的含量、幾何形態及組分的力學性質,以期提供有實用價值的結果。微觀力學研究單向增強的複合材料軸向壓縮強度時,採用纖維受壓曲屈而基體提供的橫向彈性支承的力學模型。在研究這種材料的軸向拉伸強度時,考慮到這時荷載主要由纖維承擔,部分纖維斷裂後,由於纖維與基體界面性能,基體屈服應力等不同情況,複合材料內部將出現多種可能的裂紋擴展形成,而呈現不同的強度。單向增強複合材料的軸向拉伸強度,取決於組分材料的力學性質、含量、纖維排列布置的幾何形態,纖維與基體間界面的性能等許多因素。用微觀力學研究複合材料強度的工作,還在深入進行中。
巨觀力學
巨觀力學也稱粗觀力學,只考慮複合材料的平均表觀性能而不詳細討論各組分間的相互作用。如對纖維複合材料簡單層板,通常將其看成是均質各向異性體,通過實測或套用微觀力學得出它的巨觀性能。由許多個這樣的單層粘合而成層合板,用結構力學方法分析層合板在荷載作用下拉伸、彎曲、振動、屈曲等問題。巨觀力學中分析層合板的強度,是通過單層的破壞準則,結合層合板的層間應力及層間粘合性能,並計入加工成型(固化)中的變溫應力,逐步確定全板的破壞過程及最終破壞。
在工程上普遍套用的簡單層板巨觀強度理論有三種:①蔡-希爾理論。把均質各向異性材料的廣義屈服條件套用到複合材料簡單層板。②霍夫曼理論。是在蔡-希爾理論的基礎上考慮了複合材料拉壓強度不同的特性。③蔡-吳張量理論。其破壞準則是應力張量的多項式。所有這些理論的破壞準則是以材料主方向的巨觀拉伸、壓縮、剪下等巨觀強度(基本強度)表達其中的參數而寫成的表達式。巨觀強度理論沒有解釋材料破壞的微觀物理機理。
計算
複合材料力學的計算基礎對研究纖維增強複合材料來說,單向層材料的研究是基本的問題。在研究之前,需要建立一些基本假設,它們是:①纖維是均勻的、線彈性的,並且在同一方向上是均勻排列的;②基體是均勻的、線彈性的,各向同性的;③單向層材料是均勻的,線彈性的、正交各向異性的,纖維和基體在纖維方向的應變是一致的;④多向層材料是線彈性的、各向異性的,在厚度方向上纖維分布是非均勻的。
有了上述假設,第二步是由纖維和基體的彈性常數
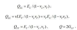
確定單向層材料的有效彈性常數。以E、G、ν和V表示彈性模量、剪下模量、泊松比和體積含量(體積的百分比),則單向層材料中基本有效彈性常數粗略估計的理論關係式可寫作:
複合材料力學[固體力學術語]式中下標L和T分別表示纖維方向和與纖維垂直方向;下標f和m分別表示纖維和基體。在用上述五個公式計算E、E、G、、之前,需要通過實驗方法測出纖維的彈性常數E.、G、和基體的彈性常數E、G、。實際上,由於材料中的纖維並非理想直線,以及由於纖維的排列不一定均勻,所以用上述理論關係式計算出的值與實驗數值相比略偏高。利用單向層材料的彈性常數還可進一步計算出多向層材料的彈性常數。
為了提高複合材料有效彈性模量的預報精度,各種細觀力學方法被發展了。稀疏模型(dilute approximation)假設夾雜(增強相)埋於無限大基體中,完全忽略夾雜之間的相互作用,這種忽略會低估複合材料的有效模量(在夾雜模量更大的情況下)。自洽法(self-consistent method) 假設夾雜埋於無限大等效複合材料中,會高估有效模量。Mori-Tanaka法假設夾雜埋在無限大基體中,但無窮遠作用的應力是未知基體的平均應力,並由此計算夾雜的應力集中係數,可以看做是對稀疏模型的推廣,具有較高精度。廣義自洽法(generalized self-consistent method)則取由基體包圍的夾雜為一個代表性體積單元,此單元中夾雜和基體的體積分數與整個複合材料相同,這個代表性體積單元又埋在無限等效複合材料中,是自洽法的發展,精度較高。微分法(differential scheme) 是自洽法的另一種改進,它假設夾雜埋於無限大等效複合材料中,但夾雜是從零開始逐步添加到指定體積分數。進一步還有假設夾雜嚴格周期分布和考慮隨機分布的細觀力學研究。
一般說現在已經能較好預報複合材料的有效彈性性質,但離完全精確預報複合材料的強度還有很大的距離。對於常規材料在很多情況下可忽略剪下變形,但對纖維增強複合材料的多向層板和層殼,由於各層的泊松比不一樣而形成較大的剪下變形。另一方面,層間剪下強度比較低,所以多向層材料的破壞往往從層間的破壞開始。這類破壞在自由邊界,孔的周圍以及幾何尺寸突變或者外載荷突變的部位尤其容易發生,所以層間剪下是多向層材料計算中必須考慮的因素。
常規材料線上彈性範圍內的正交各向異性的應力-應變關係式,可以直接套用到纖維增強複合材料問題的研究中。對於屬於二維問題的正交各向異性單向層材料,應力-應變關係可以表示為:
複合材料力學[固體力學術語]
複合材料力學[固體力學術語]
複合材料力學[固體力學術語]
複合材料力學[固體力學術語]
複合材料力學[固體力學術語]
複合材料力學[固體力學術語]
複合材料力學[固體力學術語]式中、、為主軸坐標系中的應變分量;、、為主軸坐標系中的應力分量;
複合材料力學[固體力學術語]上式的另一種寫法為:
複合材料力學[固體力學術語]式中
複合材料力學[固體力學術語]單向層板在非主軸方向坐標系中的應力-應變關係,可經坐標變換由上兩式得到。
物理學
| 力學 | 靜力學 | 動力學 | 流體力學 |分析力學 | 運動學 | 固體力學 | 材料力學 | 複合材料力學 | 流變學 | 結構力學 | 彈性力學 | 塑性力學 |爆炸力學 | 磁流體力學 |空氣動力學 | 理性力學 | 物理力學 | 天體力學 | 生物力學 | 計算力學 |
| 熱學 | 熱力學 |
| 光學 | 幾何光學 | 波動光學 | 大氣光學 | 海洋光學 | 量子光學 | 光譜學 | 生理光學 | 電子光學 | 集成光學 | 空間光學 |
| 聲學 | 次聲學 | 超聲學 | 電聲學 | 大氣聲學 | 音樂聲學 | 語言聲學 | 建築聲學 | 生理聲學 | 生物聲學 | 水聲學 |
| 電磁學 | 磁學 | 電學 | 電動力學 |
| 量子物理學 | 量子力學 | 核物理學 | 高能物理學 | 原子物理學 | 分子物理學 |
| 固體物理學 | 高壓物理學 |金屬物理學 | 表面物理學 |
![複合材料力學[固體力學術語] 複合材料力學[固體力學術語]](/img/0/fb5/nBnauM3X1YTN0AjN1ETN2QTN1UTM1QDN5MjM5ADMwAjMwUzLxUzL3IzLt92YucmbvRWdo5Cd0FmLwE2LvoDc0RHa.jpg)
