介紹
莽草酸
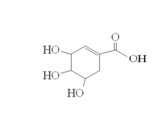
中文名稱: 莽草酸
中文別名 3,4,5-三羥基-1-環己烯-1-甲酸
英文名:Shikimic Acid
英文別名 3,4,5-Trihydroxy-1-cyclohexene-1-carboxylic acid; Shikimicacid; 97%; (3R,4S,5R)-3,4,5-trihydroxycyclohex-1-enecarboxylic acid; (-)-Shikimic acid; Kava Kava Extract
CAS NO. 138-59-0
化學式:3,4,5-三羥基-1-環己烯-1-羧酸
分子式 C7H10O5
分子量 174.15
沒有強氧化性
植物來源
化學結構式橢圓形全緣單葉,披針形生長,葉為革質,短柄,長6-12厘米,寬2-5厘米,上表面可見透明油點。春秋季開花。花單生於葉腋部。有3片黃綠色萼片;6-9片段預告被,呈粉紅至深紅色。秋季至
第二年春季結果。聚合果呈星狀的八角形,長1-2厘米,寬3-5厘米,高<1厘米。成熟後由綠變黃。蓇葖果頂端鈍或鈍尖,每個內含6毫米長的種子一顆。果實在秋冬季採摘,乾燥後呈紅棕色或黃棕色。氣味芳香而甜。注意同屬植物莽草(又稱野八角)的果實與八角非常相似,但有毒,應避免混淆。,莽草酸還廣泛存在於微生物中,通過微生物發酵也能提取莽草酸。
分子式及分子量:C7H10O5(174.15)(因為這是化學式的一個特殊式,所以不是整數)
安全信息
安全說明: S24/25:防止皮膚和眼睛接觸。
危險類別碼: S24/25:防止皮膚和眼睛接觸。
性狀
莽草酸1白色精細粉末,易溶於水,在水中的溶解度為18g/100ml,難溶於氯仿、苯和石油醚。熔點185℃~191℃ ,鏇光度-180°,氣味辛酸。
熔點: 185-191ºC
水溶性: 18G/100ML(20ºC)
比鏇光度: -180º(C=4,H2O25ºC)
用途
莽草酸通過影響花生四烯酸代謝,抑制血小板聚集,抑制動、靜脈血栓及腦血栓形成,並具有有抗炎、鎮痛作用,還可作為抗病毒和抗癌藥物中間體。本品多用做製藥中間體,具有一定刺激性,不宜直接使用。
藥理作用
莽草酸具有抗炎、鎮痛作用,莽草酸還可作為抗病毒和抗癌藥物中間體。
莽草酸2藥理作用莽草酸是從中藥八角茴香中提取的一種單體化合物,有抗炎、鎮痛作用,
是抗癌藥物中間體,莽草酸通過影響花生四烯酸代謝,抑制血小板聚集,靜脈血栓及腦血栓形成,莽草酸具有有抗炎、鎮痛作用,莽草酸還可作為抗病毒和抗癌藥物中間體。
八角茴香含有一種抗亞洲禽流感病毒的重要成分莽草酸。專家稱這是世界上對付禽流感的唯一武器。香產於中國和越南,是一種木蘭科東方小型樹種結出的果實,味道辛辣,類似甘草,是東方烹調的傳統調味品,也是法國綠茴香酒和茴香甜酒等利口酒的主要香料。一般還可用來增加糖果、茴香酒和菸草的香味。八角茴香的藥用價值在禽流感到來之前就已經受到了關注,包括它可能具有的抗癌功效。現在作為莽草酸的主要來源,八角茴香再次引起了重視,因為莽草酸是可有效對付致命的H5N1型禽流感病毒的藥物“達菲”的重要成分。法國馬賽的茴香酒製造商里卡公司的主任阿爾貝·埃爾格里西說:“治療一個感染禽流感的患者需要10粒達菲膠囊,製造10粒達菲膠囊則需要13克八角茴香。”莽草酸每公斤的價格在200-250美元之間,質量特別好的,價格高達每克50美元。
專家評價
莽草酸3北京中醫藥大學的黃建梅副教授,面對記者的採訪,黃建梅
說,其實莽草酸是一樣很平常的東西,若不是禽流感,若不是羅氏公司公布抗禽流感特效藥“達菲”是由提煉自八角中的莽草酸為合成原料,可能不會有誰關注莽草酸,誰都不會意識到八角原來也是一種中藥。
一種調味品
八角,性辛溫、理氣止痛,溫中散寒,一直是不可或缺的一種調味品。上海岳陽醫院從業40多年的醫師盧永仙說,八角確實能入藥,用於中藥治療胃腸不適,上吐下瀉。但是盧醫師說,他從業40多年,從來沒看到一張開出去的方子上有八角這味藥。
黃建梅也說,八角的確入藥極少,尤其是人工種植的八角,主要作用用於調味。一些野生八角,或者八角屬的植物,在民間會用來抗風濕,但是這種用途並不見於藥典。
“在醫院裡藥方上開一味八角會被笑話的。開八角給我乾什麼?
讓我回去燒茶葉蛋啊。”盧醫師打趣地說。
黃建梅介紹說,八角的主要成分首先是揮髮油,就是這種揮髮油令八角發出很香的味道。其次是黃酮類成分,最後便是那個被炒得很神奇的莽草酸。廣西產八角茴香中莽草酸含量大約在12%左右。
是藥三分毒,八角不例外。
氟莽草酸的合成黃建梅證實,八角中含有一種叫做莽草毒素的成分,對於人類的神經具有驚
厥作用。但是她表示無法回答莽草毒素與日本“達菲”副作用案例是否有關。黃建梅說,雖然莽草酸和莽草毒素名字相近,其實是兩種完全不同的東西。莽草酸(Shikimicacid)是一種有機酸,而莽草毒素(Anisatin)是一種倍半萜類物質。雖然莽草酸和莽草毒素都能用甲醇從八角中一起提取出來,但是分離這兩種物質並非難事。
人工種植的八角中莽草毒素的含量非常低,但是野生八角和八角屬植物中含較高的莽草毒素。但是這僅僅能說明八角中含有致使神經驚厥的毒素,和莽草酸並無任何關係。
和八角一樣“神”的植物很多
黃建梅介紹說,在生物的代謝途徑中,有一種叫做莽草酸代謝,這種代謝方式存在於大量高等植物與微生物中。所謂莽草酸代謝,就是以莽草酸為中間物質,在生 物體內進一步合成分解,生成其它化合物。換而言之,莽草酸存在於大量高等植物或微生物。由於八角科植物的果實中含有較大量的莽草酸,在八角的甲醇提取物中 能含有超過10%的莽草酸,所以才經常被作為提取莽草酸的資源植物。“達菲”運用八角提取莽草酸,只是因為八角的莽草酸含量比較大,並不是八角本身對於治療禽流感有何突出之處。
除了植物,莽草酸還廣泛存在於微生物中,通過微生物發酵也能提取莽草酸。羅氏也承認“達菲”中所用的部分莽草酸來源於一種大腸桿菌發酵。
莽草酸 5“達菲”中的抗病毒成分,是通過對莽草酸進行進一步提煉轉化而生成的衍生物,也不是莽草酸存在對禽流感病毒的抵抗作用。“八角茴香含有一種抗禽流感病毒 的重要成分莽草酸”這樣的提法肯定是錯誤的。如果莽草酸直接對禽流感有抵抗作用,那么大自然中存在無數可以抵抗禽流感
的植物,比如馬尾松松針,也含有不少 異亞丙基莽草酸。若要盲目搶購八角,其實換成把馬尾松松針摘光,作用也差不多。
對於此前公布過的羅氏公司製取“達菲”的流程,其實大部分是從八角中提取莽草酸的流程。黃建梅說,提取莽草酸其實是一件非常容易的事情。基本在稍有條件的實驗室都能完成。莽草酸絕非什麼神秘之物,羅氏公司的技術重點是對莽草酸的進一步轉化。
研發進展
莽草酸 4北京中醫藥大學藥理研究室前期研究首次發現莽草酸有明顯抗血栓形成作用,可抑制動、靜脈血栓及腦血栓形成。為闡明其抗血栓形成的機制,研究人員研究了莽草酸對血小板聚集及凝血的影響,並分析其作用機理與花生四烯酸代謝的關係。結果認為莽草酸可能通過影響花生四烯酸代謝,
抑制血小板聚集,抑制凝血系統而發揮抗血栓形成作用。北京中醫藥大學的黃建梅副教授是研究八角科植物的專家,面對記者的採訪,黃建梅說,其實莽草酸是一樣很平常的東西,若不是禽流感,若不是羅氏公司公布抗禽流感特效藥“達菲”提煉自八角中的莽草酸,可能永遠不會有誰關注莽草酸,誰都不會意識到八角原來也是一種中藥。
生物合成
糖酵解產生的磷酸烯醇式丙酮酸(PEP)和戊糖磷酸途徑產生的D-赤蘚糖-4-磷酸作用形成中間產物3-脫氧-D-阿拉伯庚酮糖酸-7-磷酸,進一步環化成重要中間產物莽草酸。莽草酸再與PEP作用,形成3-烯醇丙酮酸莽草酸-5-磷酸,脫去Pi,形成分支酸。分支酸是莽草酸途徑的重要樞紐物質,它以後的去向分為兩個分支:一個分支走向色氨酸,另一個分支是先形成預苯酸,經過arogenicacid,然後再分支:一是形成苯丙氨酸,另一是形成酪氨酸(圖5-7)。廣譜除草劑草甘磷之所以能除草,就是因為它能抑制催化莽草酸與PEP合成3-烯醇丙酮酸莽草酸-5-磷酸的酶。本途徑存在於高等植物、真菌和細菌中,而動物則無,所以動物不能合成苯丙氨酸、酪氨酸和色氨酸這3種芳香族胺基酸,必須從食物中補充。
發展前途
莽草酸在學界比較受到關注的發展前途有二:
抗菌抗腫瘤作用
1987年有報導中提到日本學者發現莽草酸的一種化合物對海拉細胞株(HeLacells)和埃希利腹水癌(Ehrlichascitescarcinoma)有明顯的抑制作用,並能延長接種白血病細胞L1210的小鼠的存活時間,而且毒性相對較低,並指明抑制作用主要是因為此種莽草酸化合物與硫氫化物反應。另一種化合物對白血病細胞L1210無對抗作用,但對鬚髮癬菌(TrichophytonmentagrophytesATCC9972)有一定的對抗作用。國內的孫快麟等人於1988年對已合成的一種莽草酸衍生物進行了初步的體外抗菌和抗腫瘤實驗,證明此化合物具有與二 黴素類似的體外抑制白血病細胞L1210的作用。
對心血管系統的作用
北京中醫藥大學的孫建寧等對莽草酸及其衍生物三乙醯莽草酸和異亞丙基莽草酸對心血管系統的作用進行研究,發現三個化合物均具有抗血栓形成和抑制血小板聚集的作用,並對它們的作用機理進行了研究。
莽草酸途徑是存在於植物、真菌和微生物中的一條重要的代謝途徑,該途徑有7個酶化過程。脫氫奎尼酸(DHQ)和莽草酸脫氫酶(SDH)促進了莽草酸途徑中的第3,4個階段。在大多數微生物中,DHQ和SDH是單功能的,但是在植物中DHQ和SDH可以融合,形成具有兩種功能的酶。DHQ-SDH雙功能酶的優點就是在莽草酸途徑中通過限制中間物在競爭途徑中的質量而增加代謝物流通的效率。多倫多大學的Christendat小組近日研究分析了擬南芥(一種草本植物)的DHQ-SDH結構。研究人員通過氣相懸滴法,第一次完成了DHQ-SDH酶和莽草酸的共結晶,之後將尼克醯胺腺嘌呤二核苷酸磷酸(NADP+)添加到晶體中形成三重複合物。脫氫莽草酸產物在DHQ位點的產生,說明SDH-莽草酸-NADP(H)是一種利於莽草酸氧化的活性複合物,DHQ-SDH的凹型構造中存有活性位點。DHQ-SDH蛋白可以通過面對面定位,將莽草酸途徑中的代謝物區分開,而且可增加代謝物從DHQ到SDH域的轉移效率。這個模型已經被現有的動力學數據證實,並認為SDH在莽草酸途徑中起到存放代謝物的作用。
安全術語
S24/25Avoid contact with skin and eyes.
避免與皮膚和眼睛接觸。

