簡介
在真空中,光以恆定的速度傳播,而且速度與光的頻率(波長)無關,在通過任何物質時,光的速度均發生變化,並且不同頻率的光波在同一物質中的傳播速度不同。光波在物質中的傳播速度(或折射率n)隨頻率(波長λ)而異的現象稱為色散(dispersion)。
色散曲線(dispersion curve)即物質材料的折射率n與波長λ之間的依賴關係曲線。
背景
色散的實驗事實在折射現象中明顯的反映出來,例如,太陽光(或白光)通過稜鏡或水晶時發生的色散現象(如圖所示),即一束陽光可被稜鏡分為紅、橙、黃、綠、藍、靛、紫七色光。該實驗現象表明,同一物質對不同的單色光的折射率是不同的,紅色光的折射率最小,紫色光的折射率最大。當它們通過稜鏡時,傳播方向有不同程度的偏折,因而在離開稜鏡便各自分散開來。1672年牛頓首先通過稜鏡折射觀察到上述的色散現象,同時他還利用正交稜鏡法將色散曲線,即物質材料的折射率n與波長λ之間的依賴關係曲線非常直觀地顯示了出來。常用物質材料的色散曲線如圖所示。
色散曲線
色散曲線原理
物質色散現象是指該物質折射率n或吸收係數α隨光波波長λ變化的巨觀表現。由於物質與光相互作用的結果,一般色散規律或n值隨λ值變化曲線呈非線性色散曲線。它可以通過測定不同波長λ值時物質的折射率n(λ)值繪製而成,測定物質折射率n值的儀器和方法有各種類型。
在分光計上用最小偏向角方法,測定不同光波波長λ值對應的玻璃折射率n(λ),最後得到玻璃材料色散曲線。最小偏向角方法只能測定固體折射率,其基本原理是將待測的光學材料,例如玻璃製成三稜鏡,最小偏向角法測定其折射率n的原理參見下圖。光線a代表一束單色平行光,以入射角i1投射到稜鏡的AB面上。經稜鏡兩次折射後以i角從另一面AC射出來,成為光線t。經稜鏡兩次折射,光線傳播方向總的變化可用入射光線a和出射光線t延長線的夾角δ來表示,δ叫做偏向角。
色散曲線由圖可知:
色散曲線此式表明,對於給定的稜鏡,其頂角A和折射率n已定,則偏向角δ隨入射i而變,δ是i的函式。
色散曲線
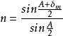
色散曲線用微商計算可以證明,當 或 時,即當入射光線a和出射光線t對稱地“分布”在稜鏡兩旁時,偏向角有最小值,叫最小偏向角,常用δ表示。此時有i= A/2,i=(A+δm)/2。故
色散曲線用分光計測出稜鏡的頂角A和最小偏向角δ,則可求得稜鏡對應該單色光波的折射率n。
由於折射率n是光波波長λ的函式,所以在不同波長λ的單色光波下,測定玻璃三稜鏡對應單色光波的最小偏向角,計算對應的折射率n值,可得到表示折射率n與波長λ關係的色散曲線。通常用色散率ν表征材料折射率隨波長變化的程度。
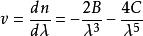
色散曲線當光波波長λ增加時,材料折射率n和色散率ν都減小時,這樣的色散現象叫做正常色散現象。反之,則叫反常色散現象。材料色散現象的實質是光與物質中的原子或分子相互作用的巨觀表現,其微觀過程可用量子理論描述,而用經典的電子論即經典電偶振子受迫振動模型能夠解釋實驗觀測的色散現象。依據這種模型,可以推導出描述正常色散現象的柯西(Cauchy) 經驗公式:
色散曲線式中,A,B,C是表征材料特性的常數。而對應的色散率:
色散曲線必須指出的是,用最小偏向角法測定折射率n的不確定度與測角儀(分光計)的允差或最小分度值密切相關。這種方法要求把待測固體加工成規則的三稜鏡,因此費工時又費料,不適用於生產。對光源而言除要求其單色外還要求是平行光,而平行光則可由調好的平行光管來提供。
測量儀器及用具
分光計、玻璃三稜鏡、平面鏡、放大鏡、水銀燈、鈉燈、He-Ne雷射器。
分光計和三稜鏡的調節
在分光計載物平台上放置好玻璃三稜鏡,然後按照以下步驟進行操作:
(1) 調節望遠鏡使它聚焦到無窮遠;
(2) 利用二分之一法,調節望遠鏡的光和儀器轉軸垂直;
(3) 調節平行光管產生平行光,並使光軸與儀器轉軸垂直;
(4) 調節三稜鏡的主截面與儀器轉軸垂直。
色散曲線測定最小偏向角δm
在調好分光計和三稜鏡位置的基礎上,測定稜鏡對應水銀燈綠色譜線(λ= 546.1nm)的最小偏向角δm。
(1) 用水銀燈照亮平行光管的狹縫,轉動游標盤(游標盤與待測物之間不可有絲毫相對位移),使稜鏡處在如圖所示的位置。先用眼睛沿稜鏡出射光方向尋找稜鏡折射後的狹縫像。找到後,再將望遠鏡移到眼睛所在的方位,此時在望遠鏡中就能看到水銀光譜線(即狹縫的單色像)。
(2) 稍稍轉動游標盤,以改變入射角i使綠譜線朝偏向角減少的方向移到並要轉動望遠鏡跟蹤綠譜線,直到稜鏡繼續沿著同方向轉動時該譜線不再向前移到卻往相反方向移到為止。這個綠譜線反方向移到的轉折位置就是稜鏡對綠譜線的最小偏向角位置。擰緊螺釘,將游標盤止動。
色散曲線(3)將望遠鏡中“雙十字準線”的豎線PP’移到這一最小偏向角位置上,與綠譜線重合。微調游標盤使稜鏡作微小轉動,準確找出綠譜線反向移到的確切位置,輕輕移到望遠鏡使PP’ 線對準綠譜線中心,記下“1”和“2”游標讀數 (出射光的方位)。
色散曲線(4) 擰緊螺釘將望遠鏡與刻度盤固定。轉動望遠鏡對著入射光,使其豎像重合,記下“1”和“2”游標讀數 (入射光的方位)。
(5) 重複步驟(2) 、(3)、(4),測量三次。求δ的平均值,再由公式計算出折射率n。
測定玻璃材料的色散曲線
在上述基礎上,仔細確認幾種強度較強的可見光譜線。分別測定不同波長下的最小偏向角,計算所對應的折射率。將全部測定的λ對應的n值列成數據表格。以波長λ為橫坐標,折射率n為縱坐標,畫n-λ關係曲線。
某物質材料的色散率曲線
