有限群
舒爾正交關係
舒爾正交關係
舒爾正交關係
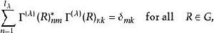
舒爾正交關係令 是一個 |G| 階(即 G 有 |G| 個元素)有限群 ,的一個不可約矩陣表示 的矩陣元素。因為可以證明任何有限群的不可約矩陣表示等價於一個酉表示,我們假設 是酉的:
舒爾正交關係
舒爾正交關係
舒爾正交關係這裡 是表示 的(有限)維數。正交關係,只對不可約表示的矩陣元素成立,是
舒爾正交關係
舒爾正交關係
舒爾正交關係
舒爾正交關係
舒爾正交關係
舒爾正交關係
舒爾正交關係
舒爾正交關係
舒爾正交關係
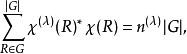
舒爾正交關係這裡 是 的復共軛,求和遍及 G 的所有元素。如果兩個矩陣是在同一個不可約表示 ,則克羅內克函式 是單位,如果 與 不等價則 為零。其他兩個克羅內克函式則要求行與列的指標必須相等( 和 )才能得到一個非零的結果。這個定義也叫做廣義正交定理。
每個群有一個單位表示(所有群元素映為實數 1),這顯然是一個不可約表示。舒爾正交關係馬上給出
舒爾正交關係
舒爾正交關係
舒爾正交關係對 ,此式對任何不等於單位表示的不可約表示 成立。
例子
舒爾正交關係
舒爾正交關係
舒爾正交關係
舒爾正交關係
舒爾正交關係
舒爾正交關係三個對象的 3! 個置換組成一個 6 階群,通常記作 (對稱群)。這個群同構於點群 ,由三重旋轉軸以及三個鉛直鏡面平面組成。這個群有一個二維不可約表示(l = 2)。在 情形,通常將這個不可約表示利用楊氏表(楊氏矩陣)記作 而在 情形通常寫成 。在兩種情形不可約表示都由如下六個實矩陣組成,每個代表一個群元素
舒爾正交關係元素 (1,1) 的正規化為:
舒爾正交關係同樣可以證明其它矩陣元素 (2,2)、(1,2) 與 (2,1) 的正規化。元素 (1,1) 與 (2,2) 的正交性:
舒爾正交關係類似的關係對元素 (1,1) 與 (1,2) 的正交性成立,如是等等。容易驗證此例中所有對應矩陣元素之和為零,因為給定表示與恆等表示的正交性。
直接推論
矩陣的跡是對角矩陣元素之和,
舒爾正交關係
舒爾正交關係
舒爾正交關係所有跡的集合 是一個表示的特徵標。通常將一個不可約表示中矩陣的跡寫成
舒爾正交關係利用這種記號我們可寫出多個特徵標公式:
舒爾正交關係這可以用來檢驗一個表示是否是可約的(這些公式說明在任意特徵標表中一行是正交向量)。以及
舒爾正交關係
舒爾正交關係
舒爾正交關係
舒爾正交關係這幫助我們確認不可約表示 在具有特徵標 的可約表示 中包含的次數。
舒爾正交關係
舒爾正交關係
舒爾正交關係
舒爾正交關係
舒爾正交關係例如,如果 ,這個群的階是 ,則 在給定“可約”表示 中包含的次數是
緊群
舒爾正交關係
舒爾正交關係
舒爾正交關係
舒爾正交關係
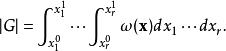
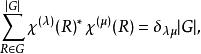
舒爾正交關係有限群的正交關係推廣為緊群(包含緊李群,比如 SO(3))本質上是簡單的:只要將在群上的求和換成在群上的積分。每個緊群G 有惟一一個雙不變哈爾測度,使得群的體積是 1。將這個測度記成 。設 是G的不可約表示的一個完備集合,設 是表示 的矩陣係數。正交關係可以敘述為兩部分 1) 如果 ,則:
舒爾正交關係
舒爾正交關係
舒爾正交關係2)如果 是表示空間 的一個正交規範基,則:
舒爾正交關係
舒爾正交關係
舒爾正交關係這裡 是 的維數。這些正交關係以及所有表示的維數有限是彼得-外爾定理的推論。
例子
舒爾正交關係
舒爾正交關係
舒爾正交關係一個三參數群的例子是矩陣群 SO(3),有所有 3×3 正交矩陣組成。這個群的一個可能的參數化是利用歐拉角: 。界限是 以及 。
舒爾正交關係
舒爾正交關係體積元素 的計算不僅取決於參數的選取,也取決於最終結果,即加權函式(測度) 的解析形式。
舒爾正交關係
舒爾正交關係
舒爾正交關係例如,SO(3) 的歐拉角參數化給出權重 而 n, ψ 參數化給出權重t ,其中 。
可以證明一個緊李群的不可約表示是有限維的並可選成酉的:
舒爾正交關係簡記成:
舒爾正交關係正交關係具有形式:
舒爾正交關係群的體積是:
舒爾正交關係
舒爾正交關係
舒爾正交關係我們注意到 SO(3) 的不可約表示是維格納D-矩陣(Wigner D-matrix) ,它們的維數是 ,故:
舒爾正交關係他們滿足:
舒爾正交關係