定義
自回歸
自回歸
自回歸
自回歸
自回歸
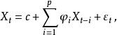
自回歸其中: 是常數項; 被假設為平均數等於0,標準差等於 的隨機誤差值; 被假設為對於任何的 都不變。
自回歸文字敘述為: 的當期值等於一個或數個落後期的線性組合,加常數項,加隨機誤差。
優點與限制
自回歸方法的優點是所需資料不多,可用自身變數數列來進行預測。但是這種方法受到一定的限制:
必須具有自相關,自相關係數是關鍵。如果自相關係數(R)小於0.5,則不宜採用,否則預測結果極不準確。
自回歸只能適用於預測與自身前期相關的經濟現象,即受自身歷史因素影響較大的經濟現象,如礦的開採量,各種自然資源產量等;對於受社會因素影響較大的經濟現象,不宜採用自回歸,而應改採可納入其他變數的向量自回歸模型。
1.必須具有自相關,自相關係數是關鍵。如果自相關係數(R)小於0.5,則不宜採用,否則預測結果極不準確。
2.自回歸只能適用於預測與自身前期相關的經濟現象,即受自身歷史因素影響較大的經濟現象,如礦的開採量,各種自然資源產量等;對於受社會因素影響較大的經濟現象,不宜採用自回歸,而應改採可納入其他變數的向量自回歸模型。
自回歸預測
預測方法大體上分為定性預測法、時間序列預測法和因果模型預測法 。
1)定性預測法是在數據資料掌握不多的情況下,依靠人的經驗和分析能力,用系統的、邏輯的思維方法,把有關資料加以綜合、進行預測的方法。定性預測法包括特爾斐法、主觀機率預測法、判斷預測法等方法。
2)時間序列預測法是依據預測對象過去的統計數據,找到其隨時間變化的規律,建立時序模型,以判斷未來數值的預測方法。其基本思想是:過去的變化規律會持續到未來,即未來是過去的延伸。時間序列預測法包括時間序列平滑法、趨勢外推法、季節變動預測法等確定型時間序列的預測方法和馬爾可夫法、隨機型時間序列的預測方法。
3)因果模型預測法是把所要預測的對象同其他有關因素聯繫起來進行分析,制定出揭示因果關係的模型,然後根據模型進行預測。因果模型預測法包括回歸分析預測法、經濟計量模型法、投入產出預測法等。由於時間序列預測法和因果模型預測法都是以統計資料為依據,套用統計方法進行預測的,所以有時兩者統稱為統計預測。
常用的分析和預測方法有下面幾種 :
(1) 投資分析方法。這是市場分析家常用的方法;
(2) 時間序列分析法。這種方法主要是通過建立綜合指數之間的時間序列相關辯識模型,如自回歸移動平均模型(ARMA)、齊次非平穩模型(ARIMA)等來預測未來變化;
(3) 神經網路預測法。神經網路是一種最新的時間序列分析方法;
(4) 其他預測方法。如專家評估法和市場調查法等定性方法、季節變動法、馬爾柯夫法和判別分析法等定量預測方法。

