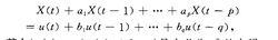
自回歸滑動平均序列(autoregressive-movingaverage sequence)亦稱自回歸滑動和序列.簡稱ARMA序列一類重要的平穩序列.如果隨機序列{X (t) ,t=0,士1,士2 , ... }滿足差分方程
自回歸滑動平均序列其中{{u(t),t=0,士1,士2,…)是方差為a2的白噪聲,A(z)=l+a,z+…+a pzp及B(z)~1 + 6,z+…+ bvzv的零點均在單位圓外,則稱該序列是一自回歸滑動平均序列.當a},b},}。時,(p,q)稱為它的階數,一個(p,婦階自回歸滑動平均序列簡記為AR-MA(p,婦序列.它是寬平穩序列,並有有理譜密度
自回歸滑動平均序列