基本介紹
定義
聚點
聚點任給 ,存在無窮多個 滿足
聚點
聚點
聚點則稱 為複數序列 的一個 聚點。
聚點與極限
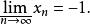
有的序列可以有多個聚點。例如,實數序列
聚點就有兩個聚點1和-1.當序列的極限存在時,序列的極限是此序列的唯一聚點。
聚點
聚點在實數序列 中,數值最大的聚點稱為 的上極限,記作
聚點
聚點數值最小的聚點稱為 的下極限,記作
聚點對於上述序列
聚點
聚點上極限與下極限的概念在計算級數收斂半徑時常會用到。
聚點存在定理
定理1
聚點a是X的聚點的充要條件是:存在X中的各項不同的數列,使得
聚點
聚點
聚點
聚點
聚點
聚點
聚點
聚點事實上,只要證明在且的數列中,可以選出各項不同的子數列就可。因為且,這說明該數列不可能只有有限多個不同項組成(否則必有一項的值在中無窮次出現,這樣就收斂到該值,而它又不等於a,從而得出矛盾),取這些不同項,按原來的順序排列後所得數列就是定理所要求的數列。
例 給出以[0,1]上所有實數為聚點的數列。
解 利用(0,1)上的有理數集的聚點就是[0,1]這個事實,來
構造數列如下:
聚點當然上述數列的項有相同的,如果捨去和前面相同的項的話,就得到一個各項不同的數列,它以[0,1]上實數為聚點,而各項又都是有理數。
定理2
(維爾斯特拉斯聚點定理)任何有界的無窮數集,都有聚點存在。
定理3
(波爾察諾定理) 有界數列有收斂的子數列。
聚點證明 若數列有無窮多項相同,它們重複出現的序號為
聚點
聚點
聚點
聚點
聚點
聚點
聚點
聚點
聚點則就是一個收斂的子數列。若沒有無窮多項相同,則數集為無窮有界數集,則由聚點原理,必有聚點a存在。再由定理1,在數集中有一個數列,a,以的次序排列後,得的一個子數列,它以a為極限,其中用了收斂數列重排後極限不變。

