定義
一個信號總是由許許多多頻率成分組成,因此,用相速度無法描述一個信號在色散媒質中的傳播速度,所以引入了“群速度”的概念。我們知道,穩態的單一頻率的正弦波是不能攜帶任何信息的。信號之所以能傳遞,是由於對波調製的結果,調製波傳播的速度才是信號傳遞的速度。下面討論窄帶信號在色散媒質中傳播的情況。
群速度
群速度
群速度
群速度
群速度
群速度設有兩個振幅均為的行波,角頻率分別為和(),在色散媒質中相應的相位常數分別為和,這兩個行波可用下列兩式表示
群速度
群速度合成波為
群速度由此可見,合成波的振幅是受調製的,稱為包絡波。
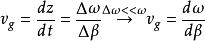
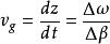
群速度群速度的定義是包絡波上任一恆定相位點的推進速度。由常數,可得群速度為
群速度色散情況分析
群速度
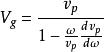
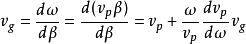
群速度群速度定義式結合相速度的定義式(具體可查看相速度)可得群速度與相速度之間的關係
群速度由此可得
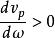
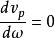
群速度由此式可知群速度與相速度一般是不相等的,存在以下三種可能情況:
群速度1、,即相速度與頻率無關,此時群速度等於相速度,稱為無色散。
群速度2、,即相速度隨著頻率升高而減小,此時群速度小於相速度,這種情況稱為正常色散。
群速度3、,即相速度隨著頻率升高而增加,此時群速度大於相速度,這種情況稱為反常色散。

