結構位移
正文
結構上點的位置的移動(線位移)或截面的轉動(角位移)。主要由荷載作用、溫度變化、支座沉陷、結構構件尺寸的誤差以及結構材料性質隨時間的變化等原因引起。結構位移計算主要套用於結構剛度分析。同時也是超靜定結構(見桿繫結構的靜力分析)分析的重要基礎。桿繫結構位移 桿繫結構位移的普遍計算公式可以從變形體虛功原理導出(見能量原理),為此虛設一個(或一對) 與所要計算的位移(或相對位移)相應的單位力,將結構上施加虛擬單位力的狀態作為力的狀態,而將待求的結構位移狀態作為虛位移狀態,從而按虛功原理建立虛功方程,即可得出位移計算的普遍公式:
(1)
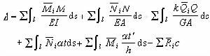
平面直桿位移 由線性變形體組成的平面直桿系在荷載作用、溫度變化和支座沉陷影響下的位移計算公式:
(2)
如果結構是靜定的,溫度變化和支座沉陷都不會使結構產生內力。如果結構是超靜定的,(2)式右邊的前三項是由荷載引起的,第四、五項是由溫度引起的,最後一項是由支座沉陷引起的。欲求超靜定結構位移,必須先求出待求位移狀態下的超靜定結構內力;而根據虛功原理,虛擬的單位力可以加在由原來的超靜定結構經解除某些約束後形成的任意靜定結構上或任意一個靜定的部分上,以使計算工作簡化。
平面曲桿位移 曲桿位移與直桿的不同之處在於:曲桿微段ds在受軸力作用時兩端截面也會產生相對轉角,在受力矩作用時也會產生相對軸向位移,並且中性軸不再與形心軸重合。所以,嚴格地說,平面曲桿的位移公式應在(2)式基礎上作相應的補充和修改;但對於小曲率情況,工程上常忽略這種曲率影響。
空間桿繫結構位移 空間桿繫結構有六個內力分量和六個位移分量,因此在其位移公式中應由彎、扭、剪、拉、壓等項來代替(1)式中等號右邊的前三項。

