發展背景
從1901年到1915年,張量分析的研究只限於極少數的數學家。然而,愛因斯坦(Einstein)的工作改變了這個局面。當時,在瑞士專利局中被聘為工程師的Albert Einstein(1879-1955),以他狹義或特殊相對論的報告極大地震動了科學界,1914年,Einstein接受邀請,到柏林的普魯士科學院,作為著名的物理化學家JacobusVan’t Hoff(1852-1911)的繼任者,二年以後他發表了他的廣義相對論。
Einstein關於物理現象相對性的革命性觀點,在全世界的物理學家、哲學家、和數學家中激起了強烈的興趣,數學家主要是被幾何的本性所激動,因為Einstein發現這種本性在他理論的創建中是有用的。
涉及四維偽歐幾里得(Euclid)流形(空-時)的性質的狹義理論,其解釋最好用向量和張量來講,而涉及四維黎曼(Riemann)流形(空-時)的性質的廣義理論,其解釋需要使用與這種流形相聯繫的特殊張量計算,幸而這種計算早已被發展,只是當時還沒有受到物理學家的特別注意罷了。
實際上,Einstein關於狹義理論的工作並沒有用黎曼幾何或張量分析,但是,狹義理論不涉及引力的作用,於是Einstein開始從事於無引力的問題的研究,並通過在他的空-時幾何中加進一種結構以說明它的效應,加進的結構使得物體自動地沿著這樣一條軌道運動,這軌道與假設物體受引力作用時所運行的軌道相同。在1911年他發表一種理論,這種理論認為引力是這樣的:它在整個空間都具有相同的方向,他當然知道這種理論是不現實的,直到這時Einstein只用了一些最簡單的數學工具,並且甚至懷疑套用“高等數學”的必要性,他認為“高等數學”常常會使讀者驚呆。然而,在布拉格他同他的一位同事、數學家皮克(Georg Pick)的討論,使他的問題獲得了進展,皮克讓他注意里奇和列維-齊維塔的數學理論,在蘇黎世,Einstein遇見一位朋友格羅斯曼(Marcel Grossmann,1878—1936),後者幫助他學習這種理論;並且以此為基礎,他成功地用公式表示了他的廣義相對論。
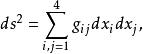
為了表示他的四維世界——三個空間坐標和一個表示時間的第四坐標,Einstein用了黎曼度量
平行位移
平行位移
平行位移其中 表示時間,這裡 的選取要能反映各個區域中物質的存在,並且,因為這個理論涉及到長度、時間、質量和其他物理量由不同的觀測者進行確定的問題,而這些觀測者彼此相對地以任意的方式運動,所以空-時中的“點”要用不同的坐標系表示,一個坐標系隸屬於一個觀測者,一個坐標系同另一個坐標系的關係由變換
平行位移給出,自然界的規律應當是對所有的觀測者都相同的那些關係或表達式.因此,它們是在數學意義下的不變數。
概念的提出
從數學的觀點來看,Einstein的工作的重要性,就象已經指出的,在於促使對張量分析和黎曼幾何的興趣的增長。從相對論之後,張量分析中的第一個革新歸於列維-齊維塔,在1917年他改進了里奇的一個想法,引進了向量的 平行位移(parallel displacemen)或平行轉移(parallel transfer)的概念,同一年 海森伯格也獨立地提出了這個思想,在1906年布勞威爾(Brouwer)已經對常曲率曲面引進了這個概念,平行位移概念的目的是要說明一個黎曼空間中平行向量是什麼意思,這樣做的困難可以這樣看出:考慮一球的表面,把這個曲面本身看成一個空間,曲面上的距離由大圓弧給出,這樣球面就是一個黎曼空間,如果一個向量,例如起點在一個緯度圓上並指向北方(這個向量將與球面相切),讓它的起點沿著圓周移動並且在歐幾里得三維空間中保持與自己平行,則當它在環繞圓周的半途中時,它不再同球相切,從而它不在那個Riemann空間中,為了得到適合於Riemann空間的向量平行性概念,就要推廣歐幾里得的平行性概念,但是在推廣的過程中要失去某些熟悉的性質。
定義
列維-齊維塔用以定義平行轉移或 平行位移的幾何概念,在曲面的情形是容易理解的。考慮曲面上的一條曲線C,讓一個一端在C上的向量在下述意義下作跟它自身平行的移動:在C的每一點有一個切平面,這族平面的包絡是一個可展曲面,而當這個可展曲面在一個平面上展開時,沿著C平行的向量在歐幾里得平面上就真的是平行的。
平行位移
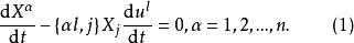
平行位移列維-齊維塔推廣這個思想以適合n維Riemann空間,在 歐幾里得平面上下述事實成立:當一個向量的起點沿著一直線——平面上的測地線——作平行予它自己的移動時,這個向量同這直線總是交成相同的角,根據這一點,在一個 Riemann空間中,平行性定義如下:當空間中的一個向量作平行於它自身的移動,使起點沿一條測地線運動時,這個向量同測地線(測地線的切線)必須仍然交成相同的角。特別地,測地線的一條切線沿這測地線移動時保持同它自己平行,按照定義,這平移的向量仍舊有相同的大小,這裡理解為這個向量始終保持在Riemann空間中,即使這Riemann空間被嵌在一個Euclid空間中也是這樣,平行轉移的定義還要求:當二個向量每一個都沿著同一條曲線C作平行於自己的移動時,它們之間的夾角保持不變,一般地說,沿一任意閉曲線C的平行轉移,初始向量與最後向量通常不會有相同的(Euclid)方向,方向的偏差將與道路C有關,例如,考慮一個向量,它從球的一個緯度圓上一點P出發,沿一子午線與球相切,當它沿著圓作平行轉移時,它將終止於P點並切於曲面;但是如果 是P的余緯度(co一latitude),那么這向量最後將與原向量交成一個角 。
平行位移如果用Riemann空間中沿一曲線 平行位移的一般定義,就得到一個解析條件.沿一曲線平行轉移的反變向量的分量 滿足微分方程(省略了求和號)
平行位移
平行位移
平行位移其中事先假定 ,n定義一條曲線,對於協變向量 ,條件是
平行位移
平行位移這些方程可以用來定義沿任何一條曲線C的 平行轉移,由一個定點P處的所有分量的值唯一確定的解,是在C的每一點有值的向量,並且由定義,它和P點的初始向量平行,方程(1)說明 的協變導數是0。
一旦引進了平行位移的概念,就可以用它來描述一個空間的曲率,特別是用無窮小向量以無窮小步長作平行位移所帶來的變化來描述, 即使在歐幾里得(Euolid)空間中,平行性也是曲率概念的基礎;因為一個無窮小弧的曲率依賴於走遍這弧的切向量的方向的變化。

